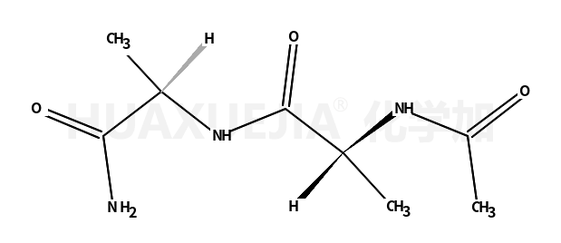
(2S)-2-[[(2S)-2-acetamidopropanoyl]amino]propanamide

(2S)-2-[[(2S)-2-acetamidopropanoyl]amino]propanamide 基本信息
CAS号 30802-37-0 分子式 C8H15N3O3
分子量 201.22300 精确质量  201.11100
PSA  N/A LogP  N/A

合成路线 1

  • 5673-69-8

    ethyl 2-[2-(phenylmethoxycarbonylamino)propanoylamino]propanoate

  • 30802-37-0

    (2S)-2-[[(2S)-2-acetamidopropanoyl]amino]propanamide

  • 5686-39-5

    3-(2-Chlorophenyl)-5-[(4-methoxyphenoxy)methyl]-1,2,4-oxadiazole

  • 30802-37-0

    (2S)-2-[[(2S)-2-acetamidopropanoyl]amino]propanamide