欢迎来到化学加!萃聚英才,共享化学!化学加,加您更精彩!
首页
注册入驻
网站资讯
化学加_合成化学产业资源聚合服务平台
www.huaxuejia.cn
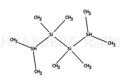
dimethylsilyl-[dimethylsilyl(dimethyl)silyl]-dimethylsilane
dimethylsilyl-[dimethylsilyl(dimethyl)silyl]-dimethylsilane 基本信息
CAS号
813-09-2
分子式
C8H26Si4
分子量
234.63400
精确质量
234.11100
PSA
N/A
LogP
N/A
合成路线
共
1
页
75-78-5
二氯二甲基硅烷
→
813-09-2
dimethylsilyl-[dimethylsilyl(dimethyl)silyl]-dimethylsilane
合成路线