3-[(2,4-dichlorophenyl)methyl]-5-(naphthalen-1-yloxymethyl)-1,2,4-oxadiazole

3-[(2,4-dichlorophenyl)methyl]-5-(naphthalen-1-yloxymethyl)-1,2,4-oxadiazole 基本信息
CAS号 5814-04-0 分子式 C20H14Cl2N2O2
分子量 385.24300 精确质量  384.04300
PSA  N/A LogP  N/A

合成路线 1

  • 2719-27-9

    环己甲酰氯

  • ~73%

  • 5814-04-0

    3-[(2,4-dichlorophenyl)methyl]-5-(naphthalen-1-yloxymethyl)-1,2,4-oxadiazole

  • 38941-47-8

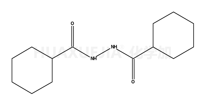
    环己烷碳酰肼

  • ~48%

  • 5814-04-0

    3-[(2,4-dichlorophenyl)methyl]-5-(naphthalen-1-yloxymethyl)-1,2,4-oxadiazole

  • 38941-47-8

    环己烷碳酰肼

  • ~38%

  • 5814-04-0

    3-[(2,4-dichlorophenyl)methyl]-5-(naphthalen-1-yloxymethyl)-1,2,4-oxadiazole

  • +

  • 60718-41-4

    Se-phenyl cyclohexanecarboselenoate

  • 6996-92-5

    苯亚硒酸

  • +

  • 38941-47-8

    环己烷碳酰肼

  • ~10%

  • 5814-04-0

    3-[(2,4-dichlorophenyl)methyl]-5-(naphthalen-1-yloxymethyl)-1,2,4-oxadiazole

  • +

  • 60718-41-4

    Se-phenyl cyclohexanecarboselenoate

  • 6996-92-5

    苯亚硒酸

  • +

  • 110-83-8

    环己烯

  • ~10%

  • 5814-04-0

    3-[(2,4-dichlorophenyl)methyl]-5-(naphthalen-1-yloxymethyl)-1,2,4-oxadiazole

  • +

  • 60718-41-4

    Se-phenyl cyclohexanecarboselenoate

  • 38941-47-8

    环己烷碳酰肼

  • +

  • 2719-27-9

    环己甲酰氯

  • 5814-04-0

    3-[(2,4-dichlorophenyl)methyl]-5-(naphthalen-1-yloxymethyl)-1,2,4-oxadiazole

  • 3289-28-9

    环己甲酸乙酯

  • 5814-04-0

    3-[(2,4-dichlorophenyl)methyl]-5-(naphthalen-1-yloxymethyl)-1,2,4-oxadiazole