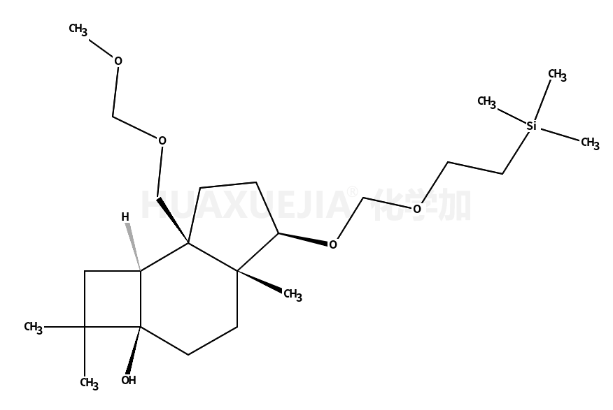
(2aS,4aS,7aS,7bR)-decahydro-7a-(methoxymethoxy)-2,2,4a-trimethyl-5-[[2-(trimethylsilyl)ethoxy]methoxy]-2aH-cyclobut[e]inden-2a-ol

(2aS,4aS,7aS,7bR)-decahydro-7a-(methoxymethoxy)-2,2,4a-trimethyl-5-[[2-(trimethylsilyl)ethoxy]methoxy]-2aH-cyclobut[e]inden-2a-ol 基本信息
CAS号 107820-12-2 分子式 C23H44O5Si
分子量 428.67800 精确质量  428.29600
PSA  N/A LogP  N/A

合成路线 1

  • 107820-11-1

    trimethyl[2-[[[(1S,3aS,7aS)-3a,6,7,7a-tetrahydro-4-isobutyl-3a-(methoxymethoxy)-7a-methyl-1-indanyl]oxy]methoxy]ethyl]silane

  • 107820-12-2

    (2aS,4aS,7aS,7bR)-decahydro-7a-(methoxymethoxy)-2,2,4a-trimethyl-5-[[2-(trimethylsilyl)ethoxy]methoxy]-2aH-cyclobut[e]inden-2a-ol