欢迎来到化学加!萃聚英才,共享化学!化学加,加您更精彩!
首页
注册入驻
网站资讯
化学加_合成化学产业资源聚合服务平台
www.huaxuejia.cn
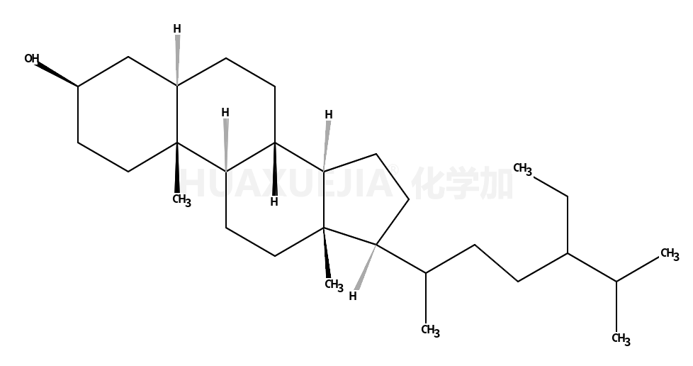
豆甾烷醇
豆甾烷醇 基本信息
CAS号
83-45-4
分子式
C29H52O
分子量
416.72300
精确质量
416.40200
PSA
N/A
LogP
N/A
合成路线
共
1
页
83-48-7
植物甾醇
→
~85%
83-45-4
豆甾烷醇
合成路线