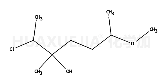
2-chloro-6-methoxy-3-methylheptan-3-ol

2-chloro-6-methoxy-3-methylheptan-3-ol 基本信息
CAS号 88083-52-7 分子式 C9H19ClO2
分子量 194.69900 精确质量  194.10700
PSA  N/A LogP  N/A

合成路线 1

  • 54149-15-4

    1-溴-3-甲氧基-丁烷

  • +

  • 4091-39-8

    3-氯-2-丁酮

  • 88083-52-7

    2-chloro-6-methoxy-3-methylheptan-3-ol

  • 55524-92-0

    3-甲氧基丁醇-4-甲基苯磺酸酯

  • 88083-52-7

    2-chloro-6-methoxy-3-methylheptan-3-ol

  • 2517-43-3

    3-甲氧基丁醇

  • 88083-52-7

    2-chloro-6-methoxy-3-methylheptan-3-ol