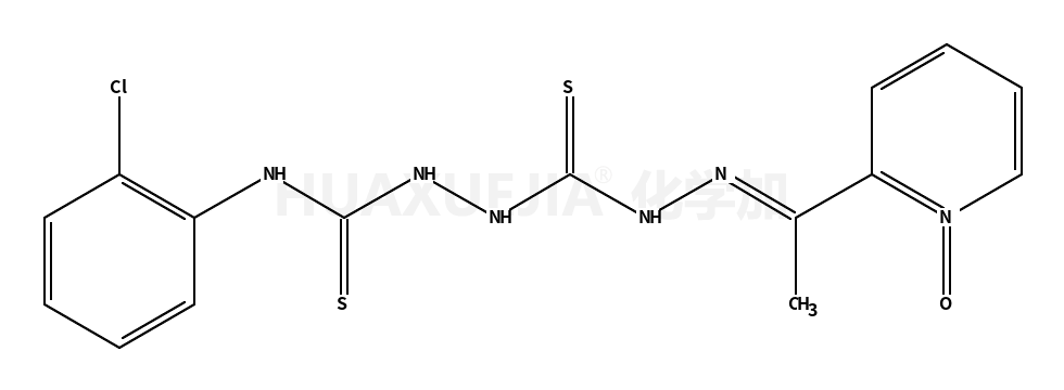
(3E)-1-(2-chlorophenyl)-3-[[[(1E)-1-(1-hydroxypyridin-2-ylidene)ethyl]amino]carbamothioylimino]thiourea

(3E)-1-(2-chlorophenyl)-3-[[[(1E)-1-(1-hydroxypyridin-2-ylidene)ethyl]amino]carbamothioylimino]thiourea 基本信息
CAS号 140835-43-4 分子式 C15H15ClN6OS2
分子量 394.90200 精确质量  394.04400
PSA  N/A LogP  N/A

合成路线 1

  • 2740-81-0

    2-氯苯基异氰酸酯

  • +

  • 140835-37-6

    140835-37-6

  • ~83%

  • 140835-43-4

    (3E)-1-(2-chlorophenyl)-3-[[[(1E)-1-(1-hydroxypyridin-2-ylidene)ethyl]amino]carbamothioylimino]thiourea

  • 2457-50-3

    2-乙酰基吡啶N-氧化物

  • 140835-43-4

    (3E)-1-(2-chlorophenyl)-3-[[[(1E)-1-(1-hydroxypyridin-2-ylidene)ethyl]amino]carbamothioylimino]thiourea