安布替星

安布替星 基本信息
CAS号 58857-02-6 分子式 C28H42O6
分子量 474.62900 精确质量  474.29800
PSA  N/A LogP  N/A

合成路线 1

  • 62711-77-7

    62711-77-7

  • ~96%

  • 58857-02-6

    安布替星

  • 63511-77-3

    63511-77-3

  • ~91%

  • 58857-02-6

    安布替星

  • 130799-17-6

    methyl 5β,6α-dibenzyloxypolyangioate

  • ~90%

  • 58857-02-6

    安布替星

  • 406684-20-6

    406684-20-6

  • 58857-02-6

    安布替星

  • 406684-16-0

    406684-16-0

  • 58857-02-6

    安布替星

  • 406684-17-1

    406684-17-1

  • 58857-02-6

    安布替星

  • 406684-15-9

    406684-15-9

  • 58857-02-6

    安布替星

  • 406684-19-3

    406684-19-3

  • 58857-02-6

    安布替星

  • 406684-14-8

    406684-14-8

  • 58857-02-6

    安布替星

  • 153618-43-0

    153618-43-0

  • 58857-02-6

    安布替星

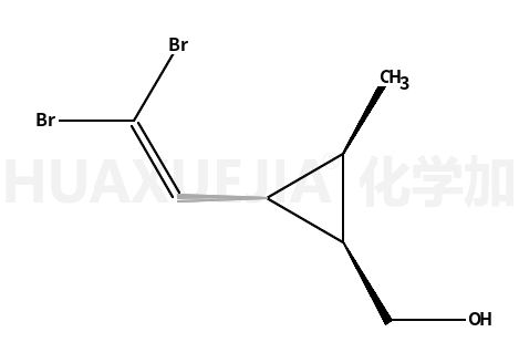
  • 153618-37-2

    ((((1S,2S,3S)-2-(2,2-dibromovinyl)-3-methylcyclopropyl)methoxy)methanetriyl)tribenzene

  • 58857-02-6

    安布替星

  • 153618-34-9

    153618-34-9

  • 58857-02-6

    安布替星

  • 153618-36-1

    153618-36-1

  • 58857-02-6

    安布替星

  • 130799-04-1

    130799-04-1

  • 58857-02-6

    安布替星

  • 130799-07-4

    (1S,2S,3S)-3-ethynyl-2-methylcyclopropylmethyl triphenylmethyl ether

  • 58857-02-6

    安布替星

  • 130799-06-3

    130799-06-3

  • 58857-02-6

    安布替星

  • 130799-05-2

    menthyl (1S,2S,3S)-2-formyl-3-methylcyclopropane-1-carboxylate

  • 58857-02-6

    安布替星

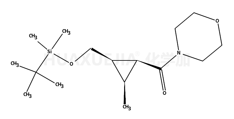
  • 616895-71-7

    methyl (8Z,10S,11S,12S)-2,3-di-O-tert-butyldimethylsilyl-1,4-dideoxy-1C-β-[11-methyl-12-hydroxymethylcyclopropylethenyl]-D-gluco-heptopyranuronate

  • 58857-02-6

    安布替星

  • 406684-06-8

    406684-06-8

  • 58857-02-6

    安布替星

  • 406684-07-9

    406684-07-9

  • 58857-02-6

    安布替星

  • 406684-08-0

    406684-08-0

  • 58857-02-6

    安布替星

  • 1026355-03-2

    1026355-03-2

  • 58857-02-6

    安布替星

  • 406684-10-4

    406684-10-4

  • 58857-02-6

    安布替星

  • 256397-91-8

    256397-91-8

  • 58857-02-6

    安布替星

  • 153618-35-0

    menthyl (1S,2S,3S)-2-hydroxymethyl-3-methylcyclopropane-1-carboxylate

  • 58857-02-6

    安布替星

  • 17791-36-5

    2,3-二-o-苄基-alpha-d-吡喃葡萄糖苷甲酯

  • 58857-02-6

    安布替星

  • 130856-15-4

    (+)-(2R,6R)-6-ethyl-5-methyl-3,6-dihydro-2H-pyran-2-yl carboxylic acid

  • 58857-02-6

    安布替星

  • 130799-19-8

    130799-19-8

  • 58857-02-6

    安布替星

  • 130798-99-1

    130798-99-1

  • 58857-02-6

    安布替星

  • 130799-02-9

    130799-02-9

  • 58857-02-6

    安布替星

  • 130799-01-8

    130799-01-8

  • 58857-02-6

    安布替星

  • 130798-97-9

    130798-97-9

  • 58857-02-6

    安布替星

  • 130799-00-7

    130799-00-7

  • 58857-02-6

    安布替星

  • 130799-14-3

    (R,E)-methyl 5-((2R,6R)-6-ethyl-5-methyl-3,6-dihydro-2H-pyran-2-yl)-3-methylhex-4-enoate

  • 58857-02-6

    安布替星

  • 130799-13-2

    130799-13-2

  • 58857-02-6

    安布替星

  • 130799-12-1

    130799-12-1

  • 58857-02-6

    安布替星

  • 130799-11-0

    130799-11-0

  • 58857-02-6

    安布替星

  • 105247-06-1

    105247-06-1

  • 58857-02-6

    安布替星

  • 393530-48-8

    393530-48-8

  • 58857-02-6

    安布替星

  • 393530-58-0

    5-Hexen-2-ol, 3-[[(1R)-1-ethyl-2-methyl-2-propenyl]oxy]-, (2S,3R)-

  • 58857-02-6

    安布替星

  • 130799-09-6

    130799-09-6

  • 58857-02-6

    安布替星

  • 130799-15-4

    130799-15-4

  • 58857-02-6

    安布替星

  • 130799-16-5

    130799-16-5

  • 58857-02-6

    安布替星

  • 1054631-66-1

    1054631-66-1

  • 58857-02-6

    安布替星

  • 393530-37-5

    393530-37-5

  • 58857-02-6

    安布替星

  • 393530-50-2

    393530-50-2

  • 58857-02-6

    安布替星

  • 498580-05-5

    498580-05-5

  • 58857-02-6

    安布替星

  • 393530-16-0

    393530-16-0

  • 58857-02-6

    安布替星

  • 393530-18-2

    (1S,2S,3S)-1-[(benzothiazolo)sulfonyl]methyl-2-methyl-3-(tert-butyldimethyl-siloxy)methyl cyclopropane

  • 58857-02-6

    安布替星

  • 393530-56-8

    (2S,3R)-2-hydroxy-3-(((R)-2-methylpent-1-en-3-yl)oxy)hex-5-en-1-yl 4-methylbenzenesulfonate

  • 58857-02-6

    安布替星

  • 616895-74-0

    (1S,2S,3S)-1-[(benzothiazolo)thio]methyl-2-methyl-3-(tert-butyldimethylsilyloxy)methylcyclopropane

  • 58857-02-6

    安布替星

  • 393530-21-7

    2H-Pyran,6-[(1E,3S)-1,3-dimethyl-4-(phenylsulfonyl)-1-butenyl]-2-ethyl-5,6-dihydro-3-methyl-, (2R,6R)-

  • 58857-02-6

    安布替星

  • 393530-44-4

    (1S,2S,3R)-3-methyl-1-(morpholino)carbonyl-2-(tert-butyldimethylsilyloxy)cyclopropane

  • 58857-02-6

    安布替星

  • 393530-42-2

    (1R,2S,3R)-3-methyl-1-(morpholino)carbonyl-2-(tert-butyldimethylsilyloxy)cyclopropane

  • 58857-02-6

    安布替星

  • 393530-29-5

    393530-29-5

  • 58857-02-6

    安布替星

  • 616895-73-9

    [2R,6R,2(2'S,3'E)]-2-(1-phenylthio-2-methyl-3-penten-4-yl)-5-methyl-6-ethyl-3,6-dihydropyran

  • 58857-02-6

    安布替星

  • 393530-53-5

    (2S,3S)-1-p-toluenesulfonyloxy-2,3-epoxy-5-hexene

  • 58857-02-6

    安布替星

  • 616895-58-0

    (1R,2S,3R)-2-hydroxymethyl-3-methyl-1-(morpholino)carbonylcyclopropane

  • 58857-02-6

    安布替星

  • 393530-62-6

    [2R,6R,2(2'R)]-2-[2'-hydroxy-3'-penten-2'(Z)-yl]-5-methyl-6-ethyl-3,6-dihydropyran

  • 58857-02-6

    安布替星

  • 393530-46-6

    Cyclopropanemethanol,2-[[[(1,1-dimethylethyl)dimethylsilyl]oxy]methyl]-3-methyl-, (1S,2S,3S)-

  • 58857-02-6

    安布替星

  • 393530-60-4

    Ethanone, 1-[(2R,6R)-6-ethyl-3,6-dihydro-5-methyl-2H-pyran-2-yl]- (9CI)

  • 58857-02-6

    安布替星

  • 353490-93-4

    Oxiranemethanol, 3-(2-propenyl)-, (2S,3S)-

  • 58857-02-6

    安布替星

  • 393530-39-7

    1-but-2-enoxy-2-diazonioethenolate

  • 58857-02-6

    安布替星

  • 208344-94-9

    (1R,5S,6R)-6-methyl-3-oxabicyclo[3.1.0]hexan-2-one

  • 58857-02-6

    安布替星

  • 393530-33-1

    [4,6-dideoxy-6-(methoxycarbonyl)-D-gluco-β-C-pyranosyl] methanol

  • 58857-02-6

    安布替星

  • 130799-10-9

    methyl (8E,10S,11S,12S)-2,3-di-O-benzyl-1,4-dideoxy-1β-[11-methyl-12-formylcyclopropylethenyl]-D-glucoheptopyranuronate

  • 58857-02-6

    安布替星

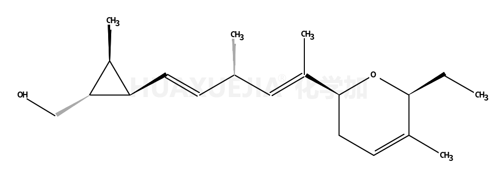
  • 393530-64-8

    3-Penten-1-ol,4-[(2R,6R)-6-ethyl-3,6-dihydro-5-methyl-2H-pyran-2-yl]-2-methyl-,(2S,3E)-

  • 58857-02-6

    安布替星

  • 125637-07-2

    (R)-3-hydroxy-2-methylpent-1-ene

  • 58857-02-6

    安布替星

  • 380356-02-5

    380356-02-5

  • 58857-02-6

    安布替星

  • 380355-87-3

    ((2S,3S,4S,6R)-3,4-bis((tert-butyldimethylsilyl)oxy)-6-(2-((tert-butyldiphenylsilyl)oxy)ethyl)tetrahydro-2H-pyran-2-yl)methanol

  • 58857-02-6

    安布替星

  • 380355-85-1

    (2R,3S,4S,6R)-3,4-bis((tert-butyldimethylsilyl)oxy)-6-(2-((tert-butyldiphenylsilyl)oxy)ethyl)tetrahydro-2H-pyran-2-carbaldehyde

  • 58857-02-6

    安布替星

  • 1026880-67-0

    (((2R,6R)-6-((benzyloxy)methyl)-2-(2-((tert-butyldiphenylsilyl)oxy)ethyl)-3,6-dihydro-2H-pyran-4-yl)oxy)(tert-butyl)dimethylsilane

  • 58857-02-6

    安布替星

  • 380355-86-2

    5-((((1S,2S,3R)-2-((R,1E,4E)-5-((2R,6R)-6-ethyl-5-methyl-3,6-dihydro-2H-pyran-2-yl)-3-methylhexa-1,4-dien-1-yl)-3-methylcyclopropyl)methyl)sulfonyl)-1-phenyl-1H-tetrazole

  • 58857-02-6

    安布替星

  • 380355-89-5

    tert-butyl(((2R,6R)-6-ethyl-5-methyl-4-((triethylsilyl)oxy)-3,6-dihydro-2H-pyran-2-yl)methoxy)dimethylsilane

  • 58857-02-6

    安布替星

  • 380355-99-7

    ((1S,2S,3R)-2-((R,1E,4E)-5-((2R,6R)-6-ethyl-5-methyl-3,6-dihydro-2H-pyran-2-yl)-3-methyl-hexa-1,4-dien-1-yl)-3-methylcyclopropyl)methanol

  • 58857-02-6

    安布替星

  • 380355-97-5

    (R,2E,4E,7E)-ethyl 8-((2R,6R)-6-ethyl-5-methyl-3,6-dihydro-2H-pyran-2-yl)-6-methylnona-2,4,7-trienoate

  • 58857-02-6

    安布替星

  • 380355-98-6

    (R,2E,4E,7E)-8-((2R,6R)-6-ethyl-5-methyl-3,6-dihydro-2H-pyran-2-yl)-6-methylnona-2,4,7-trien-1-ol

  • 58857-02-6

    安布替星

  • 380355-96-4

    (2R,6R)-6-ethyl-2-((S,2E,5E)-6-iodo-4-methylhexa-2,5-dien-2-yl)-5-methyl-3,6-dihydro-2H-pyran

  • 58857-02-6

    安布替星

  • 380355-88-4

    (E)-triethyl((3-methylhexa-1,3-dien-2-yl)oxy)silane

  • 58857-02-6

    安布替星

  • 380355-95-3

    (S,E)-4-((2R,6R)-6-ethyl-5-methyl-3,6-dihydro-2H-pyran-2-yl)-2-methylpent-3-enal

  • 58857-02-6

    安布替星

  • 380355-94-2

    (2R,6R)-6-ethyl-5-methyl-2-((E)-penta-2,4-dien-2-yl)-3,6-dihydro-2H-pyran

  • 58857-02-6

    安布替星

  • 380355-93-1

    (2R,6R)-6-ethyl-2-((E)-1-iodoprop-1-en-2-yl)-5-methyl-3,6-dihydro-2H-pyran

  • 58857-02-6

    安布替星

  • 380355-92-0

    (2R,6R)-6-ethyl-2-ethynyl-5-methyl-3,6-dihydro-2H-pyran

  • 58857-02-6

    安布替星

  • 380355-90-8

    ((2R,6R)-6-ethyl-5-methyl-3,6-dihydro-2H-pyran-2-yl)methanol

  • 58857-02-6

    安布替星

  • 380355-91-9

    (2R,6R)-6-ethyl-5-methyl-3,6-dihydro-2H-pyran-2-carbaldehyde

  • 58857-02-6

    安布替星

  • 1567-77-7

    3-Hexen-2-one, 3-methyl-, (3E)-

  • 58857-02-6

    安布替星

  • 130799-18-7

    130799-18-7

  • 58857-02-6

    安布替星