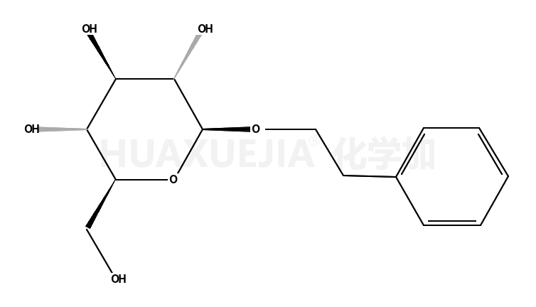
苯基乙基 beta-D-吡喃半乳糖苷

苯基乙基 beta-D-吡喃半乳糖苷 基本信息
CAS号 14861-16-6 分子式 C14H20O6
分子量 284.30500 精确质量  284.12600
PSA  N/A LogP  N/A

合成路线 1

  • 76870-86-5

    2-phenylethanol 2,3,4,6-tetra-O-acetyl-β-D-glucopyranoside

  • ~92%

  • 14861-16-6

    苯基乙基 beta-D-吡喃半乳糖苷

  • 133-99-3

    D-(+)-纤维二糖

  • +

  • 60-12-8

    苯乙醇

  • ~33%

  • 14861-16-6

    苯基乙基 beta-D-吡喃半乳糖苷

  • 2280-44-6

    D-glucopyranose

  • +

  • 60-12-8

    苯乙醇

  • ~33%

  • 14861-16-6

    苯基乙基 beta-D-吡喃半乳糖苷

  • 133-99-3

    D-(+)-纤维二糖

  • +

  • 60-12-8

    苯乙醇

  • ~29%

  • 2280-44-6

    D-glucopyranose

  • +

  • 14861-16-6

    苯基乙基 beta-D-吡喃半乳糖苷

  • 60-12-8

    苯乙醇

  • +

  • 2492-87-7

    4-硝基苯-Β-D-吡喃葡萄糖苷

  • ~22%

  • 14861-16-6

    苯基乙基 beta-D-吡喃半乳糖苷

  • 60-12-8

    苯乙醇

  • +

  • 1464-44-4

    苯基-β-D-葡萄糖苷

  • ~22%

  • 14861-16-6

    苯基乙基 beta-D-吡喃半乳糖苷

  • 492-61-5

    莨菪亭

  • +

  • 60-12-8

    苯乙醇

  • ~17%

  • 14861-16-6

    苯基乙基 beta-D-吡喃半乳糖苷

  • 604-69-3

    β-D-葡萄糖五乙酸酯

  • 14861-16-6

    苯基乙基 beta-D-吡喃半乳糖苷

  • 14218-11-2

    2-D-溴化吡喃葡糖-四苄酯

  • 14861-16-6

    苯基乙基 beta-D-吡喃半乳糖苷

  • 60-12-8

    苯乙醇

  • 14861-16-6

    苯基乙基 beta-D-吡喃半乳糖苷

  • 1038587-84-6

    1038587-84-6

  • 14861-16-6

    苯基乙基 beta-D-吡喃半乳糖苷

  • 572-09-8

    乙酰溴-α-D-葡萄糖

  • 14861-16-6

    苯基乙基 beta-D-吡喃半乳糖苷