欢迎来到化学加!萃聚英才,共享化学!化学加,加您更精彩!
首页
注册入驻
网站资讯
化学加_合成化学产业资源聚合服务平台
www.huaxuejia.cn
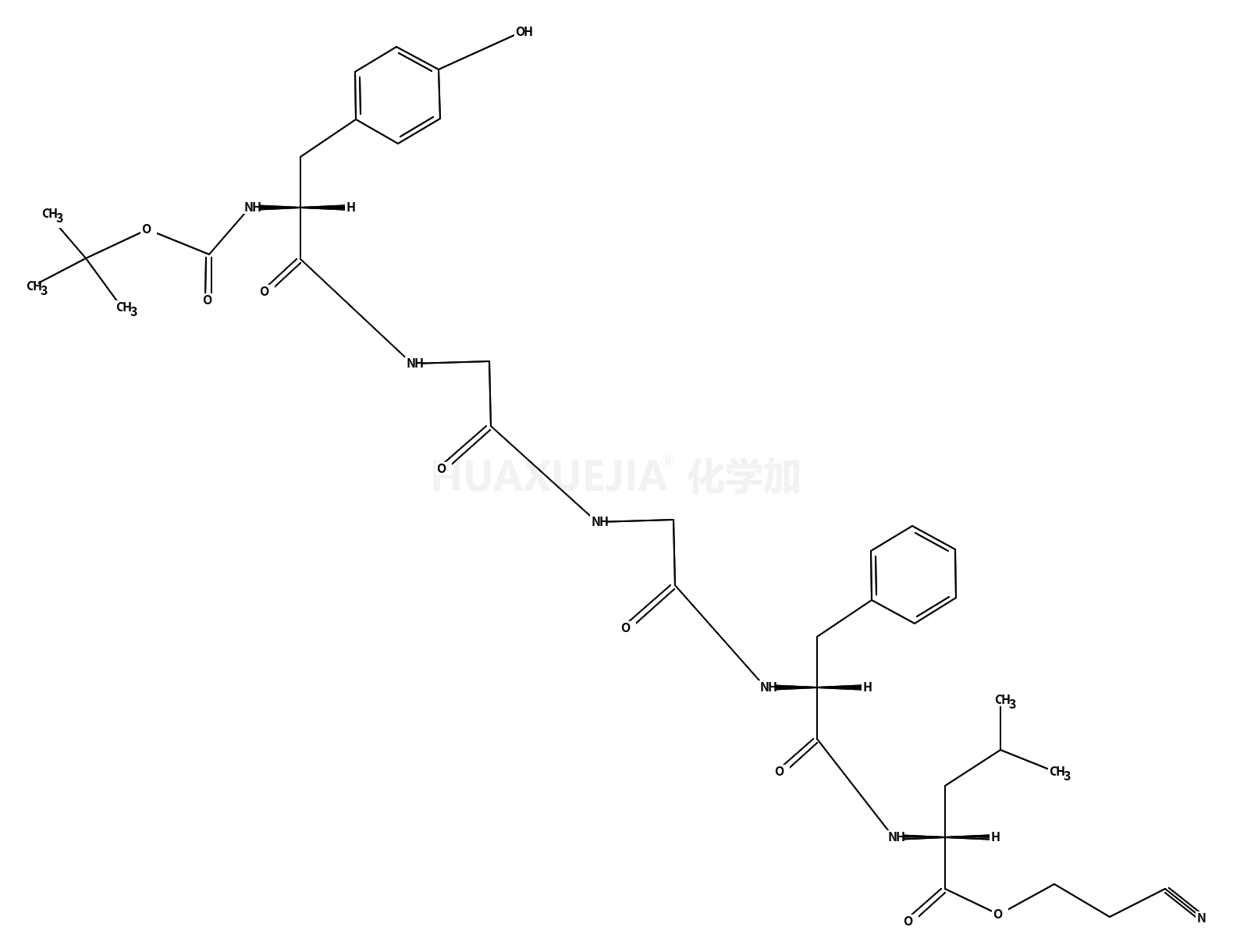
Boc-Tyr-Gly-Gly-Phe-Leu-OCet
Boc-Tyr-Gly-Gly-Phe-Leu-OCet 基本信息
CAS号
119866-73-8
分子式
C36H48N6O9
分子量
708.80100
精确质量
708.34800
PSA
N/A
LogP
N/A
合成路线
共
1
页
119866-76-1
Boc-Leu-OCet
→
119866-73-8
Boc-Tyr-Gly-Gly-Phe-Leu-OCet
合成路线