2-甲氧亚胺基-2-(2-氨基噻唑)-4-乙酸

2-甲氧亚胺基-2-(2-氨基噻唑)-4-乙酸 基本信息
CAS号 65872-41-5 分子式 C6H7N3O3S
分子量 201.20300 精确质量  201.02100
PSA  126.04000 LogP  0.74160

基本信息 展开↓

CAS号:
65872-41-5
3D弹球模型:
立即前往扯扯看
分子式:
C6H7N3O3S
分子量:
201.20300
中文名称:
2-甲氧亚胺基-2-(2-氨基噻唑)-4-乙酸
英文名称:
2-(2-Aminothiazole-4-yl)-2-methoxyiminoacetic acid
中文别名:
2-甲氧亚胺基-2-(2-氨基噻唑)-4-乙酸;
氨噻肟酸;
(Z)-2-(2-氨基-4-噻唑基)-2-(甲氧亚氨基)乙酸;
2-甲氧氨基-2-(2-氨基噻唑)-4-乙酸,主要为顺式;
2-氨基-alpha-(甲氧亚胺基)-4-噻唑乙酸;
2-甲氧氨基-2-(2-氨基噻唑)-4-乙酸;
无水氨噻肟酸
英文别名:
2-(2-Aminothiazole-4-yl)-2-methoxyiminoacetic acid;
Aminothiaoximoacid;
ThiazoxiMic Acid;
ATIFICIALCOW-BEZOAR;
Aminothiaoximinoacid;
syn-Thiazoximic acid
精确分子量/精确质量:
201.02100
极性分子表面积/PSA:
126.04000
油水分配系数/LogP:

LogP值指的是某物质在正辛醇/水两相体系中的分配系数的对数值,反映了物质在油水两相中的分配情况。其中、LogP值越大,说明该物质越亲油;反之,LogP值越小,则说明该物质越亲水。
贝尔斯坦号/MDL:
MFCD00010416
EINECS:
265-957-0
PubChem:
24856932
InChI:
InChI=1/C6H7N3O3S/c1-12-9-4(5(10)11)3-2-13-6(7)8-3/h2H,1H3,(H2,7,8)(H,10,11)/p-1/b9-4-

生产制备方法及用途展开↓

制备方法


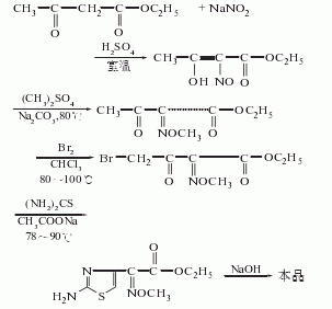
乙酰乙酸乙酯经亚硝化、甲基化、溴代、环化、水解而成。

合成制备方法


乙酰乙酸乙酯经亚硝化、甲基化、溴代、环化、水解而成。

用途简介


用作抗生素药物中间体,是头孢噻肟钠、头孢三嗪、头孢塔齐定等的侧链

用途


用作抗生素药物中间体,是头孢噻肟钠、头孢三嗪、头孢塔齐定等的侧链

物化性质展开↓

外观与性状:
灰白色粉末
密度:
1.65 g/cm3
熔点:
192 °C (dec.)(lit.)
沸点:
Decomposes (192ºC)
闪点:
STABILITY
水溶解性:
0.6 g/100 mL (20 ºC)
存储条件/存储方法:

 

 密闭于阴凉干燥环境中,内衬塑料袋,外用木桶包装,每桶25kg。

稳定性相关:

 

遵照规定使用和储存则不会分解。

本品制造过程所用原料如硫酸二甲酯、亚硝酸钠、乙酰乙酸乙酯、溴及三氯甲烷均有一定毒性。操作人员必须穿戴防护用品。
 

其它信息:

1.       性状: 白色或微黄色结晶粉末,或针状结晶。

2.       密度(g/mL,25/4℃):无可用

3.       相对蒸汽密度(g/mL,空气=1):无可用

4.       熔点(ºC):192

5.       沸点(ºC,常压):无可用

6.       沸点(ºC,5.2kPa):无可用

7.       折射率:无可用

8.       闪点(ºC):无可用

9.       比旋光度(º):无可用

10.    自燃点或引燃温度(ºC):无可用

11.    蒸气压(kPa,25ºC):无可用

12.    饱和蒸气压(kPa,60ºC):无可用

13.    燃烧热(KJ/mol):无可用

14.    临界温度(ºC):无可用

15.    临界压力(KPa):无可用

16.    油水(辛醇/水)分配系数的对数值:无可用

17.    爆炸上限(%,V/V):无可用

18.    爆炸下限(%,V/V):无可用

19.    溶解性:可溶于水

安全信息展开↓

海关代码:
2934100090
WGK_Germany:
3
德国有关水污染物质的分类清单
危险类别码:
R36/37/38
安全说明:
S26-S37/39-S24/25
危险标志:
Xi:Irritant

合成路线查看所有的合成路线

  • 64485-88-7

    氨噻肟酸乙酯

  • ~57%

  • 65872-41-5

    2-甲氧亚胺基-2-(2-氨基噻唑)-4-乙酸

  • 64486-18-6

    (2Z)-{2-[(氯乙酰基)氨基]-1,3-噻唑-4-基}(甲氧基亚氨基)乙酸

  • 65872-41-5

    2-甲氧亚胺基-2-(2-氨基噻唑)-4-乙酸

  • 80756-85-0

    AE-活性酯

  • 65872-41-5

    2-甲氧亚胺基-2-(2-氨基噻唑)-4-乙酸

  • +

  • 149-30-4

    2-巯基苯并噻唑

毒理性展开↓

生态数据:

 

通常对水是不危害的,若无政府许可,勿将材料排入周围环境。

MSDS 展开↓

  1.1 产品标识符
    : 2-Amino-α-(methoxyimino)-4-thiazoleacetic acid,
    化学品俗名或商品名
    predominantly syn
  1.2 鉴别的其他方法
    无数据资料
  1.3 有关的确定了的物质或混合物的用途和建议不适合的用途
    仅供科研用途,不作为药物、家庭备用药或其它用途。

模块 2. 危险性概述
  2.1 GHS分类
    皮肤刺激 (类别2)
    眼刺激 (类别2A)
    特异性靶器官系统毒性(一次接触) (类别3)
  2.2 GHS 标记要素,包括预防性的陈述
    危害类型象形图
    信号词        警告    
    危险申明
    H315        造成皮肤刺激。    
    H319        造成严重眼刺激。    
    H335        可能引起呼吸道刺激。    
    警告申明
    预防
    P261        避免吸入粉尘/ 烟/ 气体/ 烟雾/ 蒸汽/ 喷雾。    
    P264        操作后彻底清洁皮肤。    
    P271        只能在室外或通风良好之处使用。    
    P280        穿戴防护手套/ 眼保护罩/ 面部保护罩。    
    措施
    P302 + P352        如果在皮肤上: 用大量肥皂和水淋洗。    
    P304 + P340        如果吸入: 将患者移到新鲜空气处休息,并保持呼吸舒畅的姿势。    
    P305 + P351 + P338        如进入眼睛:用水小心清洗几分钟。如戴隐形眼镜并可方便地取出,取出    
    隐形眼镜。继续冲洗。
    P312        如感觉不适,呼救解毒中心或医生。    
    P321        具体治疗(见本标签上提供的急救指导)。    
    P332 + P313        如发生皮肤刺激:求医/ 就诊。    
    P337 + P313        如仍觉眼睛刺激:求医/ 就诊。    
    P362        脱掉沾染的衣服,清洗后方可重新使用。    
    储存
    P403 + P233        存放于通风良的地方。 保持容器密闭。    
    P405        存放处须加锁。    
    处理
    P501        将内容物/ 容器处理到得到批准的废物处理厂。    
  2.3 其它危害物 - 无

模块 3. 成分/组成信息
  3.1 物 质
    : C6H7N3O3S
    分子式
    : 201.2 g/mol
    分子量
    成分        浓度    
    (Z)-2-Amino-α-(methoxyimino)thiazol-4-acetic acid
    -
    化学文摘编号(CAS No.) 65872-41-5
    EC-编号        265-957-0    
    根据相应法规,无需披露具体组份。

模块 4. 急救措施
  4.1 必要的急救措施描述
    一般的建议
    请教医生。 出示此安全技术说明书给到现场的医生看。
    如果吸入
    如果吸入,请将患者移到新鲜空气处。 如果停止了呼吸,给于人工呼吸。 请教医生。
    在皮肤接触的情况下
    用肥皂和大量的水冲洗。 请教医生。
    在眼睛接触的情况下
    用大量水彻底冲洗至少15分钟并请教医生。
    如果误服
    切勿给失去知觉者从嘴里喂食任何东西。 用水漱口。 请教医生。
  4.2 最重要的症状和影响,急性的和滞后的
    据我们所知,此化学,物理和毒性性质尚未经完整的研究。
  4.3 及时的医疗处理和所需的特殊处理的说明和指示
    无数据资料

模块 5. 消防措施
  5.1 灭火介质
    灭火方法及灭火剂
    用水雾,耐醇泡沫,干粉或二氧化碳灭火。
  5.2 源于此物质或混合物的特别的危害
    碳氧化物, 氮氧化物, 硫氧化物
  5.3 给消防员的建议
    如必要的话,戴自给式呼吸器去救火。
  5.4 进一步的信息
    无数据资料

模块 6. 泄露应急处理
  6.1 人员的预防,防护设备和紧急处理程序
    使用个人防护设备。 防止粉尘的生成。 防止吸入蒸汽、气雾或气体。 保证充分的通风。
    将人员撤离到安全区域。 避免吸入粉尘。
  6.2 环境预防措施
    不要让产物进入下水道。
  6.3 抑制和清除溢出物的方法和材料
    收集、处理泄漏物,不要产生灰尘。 扫掉和铲掉。 存放进适当的闭口容器中待处理。
  6.4 参考其他部分
    丢弃处理请参阅第13节。

模块 7. 操作处置与储存
  7.1 安全操作的注意事项
    避免接触皮肤和眼睛。 防止粉尘和气溶胶生成。
    在有粉尘生成的地方,提供合适的排风设备。
  7.2 安全储存的条件,包括任何不兼容性
    贮存在阴凉处。 容器保持紧闭,储存在干燥通风处。
    对湿度敏感
  7.3 特定用途
    无数据资料

模块 8. 接触控制和个体防护
  8.1 控制参数
    最高容许浓度
    没有已知的国家规定的暴露极限。
  8.2 暴露控制
    适当的技术控制
    按照良好工业和安全规范操作。 休息前和工作结束时洗手。
    人身保护设备
    眼/面保护
    带有防护边罩的安全眼镜符合 EN166要求请使用经官方标准如NIOSH (美国) 或 EN 166(欧盟)
    检测与批准的设备防护眼部。
    皮肤保护
    戴手套取 手套在使用前必须受检查。
    请使用合适的方法脱除手套(不要接触手套外部表面),避免任何皮肤部位接触此产品.
    使用后请将被污染过的手套根据相关法律法规和有效的实验室规章程序谨慎处理. 请清洗并吹干双手
    所选择的保护手套必须符合EU的89/686/EEC规定和从它衍生出来的EN 376标准。
    身体保护
    防渗透的衣服, 防护设备的类型必须根据特定工作场所中的危险物的浓度和含量来选择。
    呼吸系统防护
    如须暴露于有害环境中,请使用P95型(美国)或P1型(欧盟 英国
    143)防微粒呼吸器。如需更高级别防护,请使用OV/AG/P99型(美国)或ABEK-P2型 (欧盟 英国 143)
    防毒罐。
    呼吸器使用经过测试并通过政府标准如NIOSH(US)或CEN(EU)的呼吸器和零件。

模块 9. 理化特性
  9.1 基本的理化特性的信息
    a) 外观与性状
    形状: 粉末
    颜色: 灰白色或米色
    b) 气味
    无数据资料
    c) 气味临界值
    无数据资料
    d) pH值
    无数据资料
    e) 熔点/凝固点
    熔点/熔点范围: 192 °C - 分解
    f) 起始沸点和沸程
    无数据资料
    g) 闪点
    无数据资料
    h) 蒸发速率
    无数据资料
    i) 可燃性(固体,气体)
    无数据资料
    j) 高的/低的燃烧性或爆炸性限度 无数据资料
    k) 蒸汽压
    无数据资料
    l) 蒸汽密度
    无数据资料
    m) 相对密度
    无数据资料
    n) 水溶性
    无数据资料
    o) 分配系数:n-辛醇/水
    无数据资料
    p) 自燃温度
    无数据资料
    q) 分解温度
    无数据资料
    r) 粘度
    无数据资料

模块 10. 稳定性和反应活性
  10.1 反应性
    无数据资料
  10.2 化学稳定性
    无数据资料
  10.3 危险反应的可能性
    无数据资料
  10.4 应避免的条件
    无数据资料
  10.5 不兼容的材料
    强氧化剂
  10.6 危险的分解产物
    其它分解产物 - 无数据资料

模块 11. 毒理学资料
  11.1 毒理学影响的信息
    急性毒性
    无数据资料
    皮肤腐蚀/刺激
    无数据资料
    严重眼损伤 / 眼刺激
    无数据资料
    呼吸道或皮肤过敏
    无数据资料
    生殖细胞诱变
    无数据资料
    致癌性
    IARC:
    此产品中没有大于或等于 0。1%含量的组分被 IARC鉴别为可能的或肯定的人类致癌物。
    生殖毒性
    无数据资料
    特异性靶器官系统毒性(一次接触)
    吸入 - 可能引起呼吸道刺激。
    特异性靶器官系统毒性(反复接触)
    无数据资料
    吸入危险
    无数据资料
    潜在的健康影响
    吸入        吸入可能有害。 引起呼吸道刺激。    
    摄入        如服入是有害的。    
    皮肤        如果通过皮肤吸收可能是有害的。 造成皮肤刺激。    
    眼睛        造成严重眼刺激。    
    接触后的征兆和症状
    据我们所知,此化学,物理和毒性性质尚未经完整的研究。
    附加说明
    化学物质毒性作用登记: 无数据资料

模块 12. 生态学资料
  12.1 毒性
    无数据资料
  12.2 持久存留性和降解性
    无数据资料
  12.3 生物蓄积性
    无数据资料
  12.4 土壤中的迁移
    无数据资料
  12.5 PBT 和 vPvB的结果评价
    无数据资料
  12.6 其它不利的影响
    无数据资料

模块 13. 废弃处置
  13.1 废物处理方法
    产品
    将剩余的和未回收的溶液交给处理公司。
    与易燃溶剂相溶或者相混合,在备有燃烧后处理和洗刷作用的化学焚化炉中燃烧
    污染了的包装物
    作为未用过的产品弃置。

模块 14. 运输信息
  14.1 UN编号
    欧洲陆运危规: -        国际海运危规: -        国际空运危规: -    
  14.2 联合国(UN)规定的名称
    欧洲陆运危规: 无危险货物
    国际海运危规: 无危险货物
    国际空运危规: 无危险货物
  14.3 运输危险类别
    欧洲陆运危规: -        国际海运危规: -        国际空运危规: -    
  14.4 包裹组
    欧洲陆运危规: -        国际海运危规: -        国际空运危规: -    
  14.5 环境危险
    欧洲陆运危规: 否        国际海运危规 海运污染物: 否        国际空运危规: 否    
  14.6 对使用者的特别提醒
    无数据资料
    公司对任何操作或者接触上述产品而引起的损害不负有任何责任,。更多使用条款,参见发票或包
    装条的反面。


模块 15 - 法规信息
N/A


模块16 - 其他信息
N/A

海关数据查看详细

中国海关编码:2934100090

概述:
2934100090. 结构上含有一个非稠合噻唑环的化合物(不论是否氢化). 增值税率:17.0%. 退税率:9.0%. 监管条件:无. 最惠国关税:6.5%. 普通关税:20.0%
申报要素:
品名, 成分含量, 用途
摘要/Summary:
2934100090 other compounds containing an unfused thiazole ring (whether or not hydrogenated) in the structure VAT:17.0% Tax rebate rate:9.0% Supervision conditions:none MFN tariff:6.5% General tariff:20.0%

分子结构与计算化学数据展开↓

分子结构数据


1、   疏水参数计算参考值(XlogP):0.9

2、   氢键供体数量:2

3、   氢键受体数量:6

4、   可旋转化学键数量:3

5、   拓扑分子极性表面积(TPSA):97.8

6、   重原子数量:13

7、   表面电荷:0

8、   复杂度:233

9、   同位素原子数量:0

10、   确定原子立构中心数量:0

11、   不确定原子立构中心数量:0

12、   确定化学键立构中心数量:1

13、   不确定化学键立构中心数量:0

14、   共价键单元数量:1

计算化学数据


五、分子性质数据:

1、   摩尔折射率:46.38

2、   摩尔体积(m3/mol):121.5

3、   等张比容(90.2K):350.3

4、   表面张力(dyne/cm):69.0

5、   极化率:18.38

6、   介电常数:未确定

 

上下游相关产品

上游产品

更多
  • 64485-88-7

    氨噻肟酸乙酯

  • 65243-09-6

    2-Amino-α-(methoxyimino)-4-thiazoleacetic Acid Methyl Ester

  • 80756-29-2

    2-methoxyimino-3-oxo-4,4-dibromobutyric acid

  • 137-42-8

    威百亩

  • 64486-18-6

    (2Z)-{2-[(氯乙酰基)氨基]-1,3-噻唑-4-基}(甲氧基亚氨基)乙酸

下游产品

更多
  • 179258-53-8

    O,O-二乙基磷-(Z)-2-(2-氨基噻唑-4-基)-2-甲氧基亚氨基乙酸酯

  • 64486-18-6

    (2Z)-{2-[(氯乙酰基)氨基]-1,3-噻唑-4-基}(甲氧基亚氨基)乙酸

  • 71445-20-0

    羟基苯并三氮唑活性酯

立即下载安装“化学加”APP
专业、功能强大,随时调用更加方便