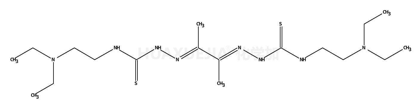
1-[2-(diethylamino)ethyl]-3-[(Z)-[(3Z)-3-[2-(diethylamino)ethylcarbamothioylhydrazinylidene]butan-2-ylidene]amino]thiourea

1-[2-(diethylamino)ethyl]-3-[(Z)-[(3Z)-3-[2-(diethylamino)ethylcarbamothioylhydrazinylidene]butan-2-ylidene]amino]thiourea 基本信息
CAS号 32904-23-7 分子式 C18H38N8S2
分子量 430.67800 精确质量  430.26600
PSA  N/A LogP  N/A

合成路线 1

  • 32813-52-8

    N,N-diethyl-2-isothiocyanatoethanamine

  • +

  • 3457-52-1

    Diacetyl dihydrazone

  • 32904-23-7

    1-[2-(diethylamino)ethyl]-3-[(Z)-[(3Z)-3-[2-(diethylamino)ethylcarbamothioylhydrazinylidene]butan-2-ylidene]amino]thiourea

  • 32806-52-3

    1-amino-3-[2-(diethylamino)ethyl]thiourea

  • +

  • 135636-66-7

    135636-66-7

  • 32904-23-7

    1-[2-(diethylamino)ethyl]-3-[(Z)-[(3Z)-3-[2-(diethylamino)ethylcarbamothioylhydrazinylidene]butan-2-ylidene]amino]thiourea

  • 32806-52-3

    1-amino-3-[2-(diethylamino)ethyl]thiourea

  • +

  • 431-03-8

    2,3-丁二酮

  • 32904-23-7

    1-[2-(diethylamino)ethyl]-3-[(Z)-[(3Z)-3-[2-(diethylamino)ethylcarbamothioylhydrazinylidene]butan-2-ylidene]amino]thiourea

  • 32806-52-3

    1-amino-3-[2-(diethylamino)ethyl]thiourea

  • +

  • 95-45-4

    二甲基乙二肟

  • 32904-23-7

    1-[2-(diethylamino)ethyl]-3-[(Z)-[(3Z)-3-[2-(diethylamino)ethylcarbamothioylhydrazinylidene]butan-2-ylidene]amino]thiourea

  • 32813-52-8

    N,N-diethyl-2-isothiocyanatoethanamine

  • 32904-23-7

    1-[2-(diethylamino)ethyl]-3-[(Z)-[(3Z)-3-[2-(diethylamino)ethylcarbamothioylhydrazinylidene]butan-2-ylidene]amino]thiourea

  • 100-36-7

    N,N-二乙基乙二胺

  • 32904-23-7

    1-[2-(diethylamino)ethyl]-3-[(Z)-[(3Z)-3-[2-(diethylamino)ethylcarbamothioylhydrazinylidene]butan-2-ylidene]amino]thiourea