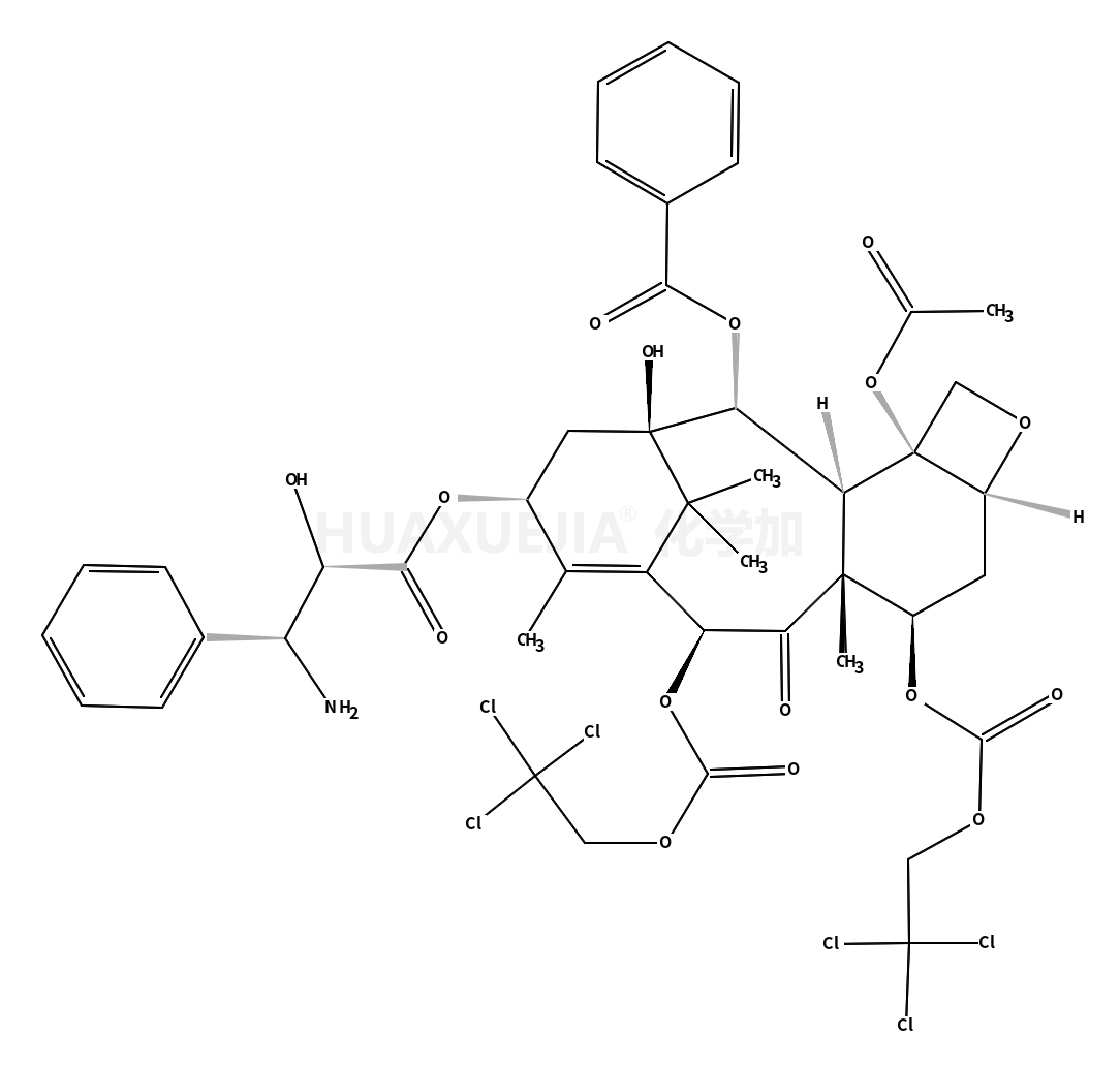
N-Des-t-boc-10-deacetyl-7,10-O-bis{[(2,2,2-trichloroethyl)oxy]carbonyl} Docetaxel

N-Des-t-boc-10-deacetyl-7,10-O-bis{[(2,2,2-trichloroethyl)oxy]carbonyl} Docetaxel 基本信息
CAS号 114915-16-1 分子式 C44H47Cl6NO16
分子量 1058.56000 精确质量  1055.10000
PSA  N/A LogP  N/A

合成路线 1

  • 114915-14-9

    多西紫杉醇中间体

  • ~77%

  • 114915-16-1

    N-Des-t-boc-10-deacetyl-7,10-O-bis{[(2,2,2-trichloroethyl)oxy]carbonyl} Docetaxel

  • 143527-76-8

    4-acetoxy-2α-benzoyloxy-5β,20-epoxy-1-hydroxy-9-oxo-7β,10β-bis[(2,2,2-tri-chloroethoxy)carbonyloxy]-11-taxen-13α-yl (4S,5R)-3-tert-butoxycarbonyl-2,2-dimethyl-4-phenyl-5-oxazolidinecarboxylate

  • ~77%

  • 114915-16-1

    N-Des-t-boc-10-deacetyl-7,10-O-bis{[(2,2,2-trichloroethyl)oxy]carbonyl} Docetaxel

  • 32981-86-5

    10-脱乙酰基巴卡丁 III

  • 114915-16-1

    N-Des-t-boc-10-deacetyl-7,10-O-bis{[(2,2,2-trichloroethyl)oxy]carbonyl} Docetaxel

  • 143527-74-6

    3-(t-Boc)-2,2-dimethyl-4-phenyl-1,3-oxazolidin-5-yl]formic Acid Ethyl Ester

  • 114915-16-1

    N-Des-t-boc-10-deacetyl-7,10-O-bis{[(2,2,2-trichloroethyl)oxy]carbonyl} Docetaxel

  • 143615-03-6

    (4S,5R)-3-(tert-butoxycarbonyl)-2,2-dimethyl-4-phenyloxazolidine-5-carboxylic acid

  • 114915-16-1

    N-Des-t-boc-10-deacetyl-7,10-O-bis{[(2,2,2-trichloroethyl)oxy]carbonyl} Docetaxel

  • 143527-75-7

    N-(t-Boc)-3-phenyl Isoserine Ethyl Ester

  • 114915-16-1

    N-Des-t-boc-10-deacetyl-7,10-O-bis{[(2,2,2-trichloroethyl)oxy]carbonyl} Docetaxel

  • 143615-00-3

    (2R,3s)-3-氨基-2-羟基-3-苯基丙酸乙酯

  • 114915-16-1

    N-Des-t-boc-10-deacetyl-7,10-O-bis{[(2,2,2-trichloroethyl)oxy]carbonyl} Docetaxel

  • 95603-44-4

    7,10-二(2,2,2-三氯乙氧羰基)-10-脱乙酰基巴卡丁 III

  • 114915-16-1

    N-Des-t-boc-10-deacetyl-7,10-O-bis{[(2,2,2-trichloroethyl)oxy]carbonyl} Docetaxel

  • 144704-63-2

    144704-63-2

  • 114915-16-1

    N-Des-t-boc-10-deacetyl-7,10-O-bis{[(2,2,2-trichloroethyl)oxy]carbonyl} Docetaxel

  • 126060-73-9

    126060-73-9

  • 114915-16-1

    N-Des-t-boc-10-deacetyl-7,10-O-bis{[(2,2,2-trichloroethyl)oxy]carbonyl} Docetaxel

  • 100-52-7

    苯甲醛

  • 114915-16-1

    N-Des-t-boc-10-deacetyl-7,10-O-bis{[(2,2,2-trichloroethyl)oxy]carbonyl} Docetaxel

  • 144787-20-2

    Ethyl 3-Azido-2-hydroxy-propionate

  • 114915-16-1

    N-Des-t-boc-10-deacetyl-7,10-O-bis{[(2,2,2-trichloroethyl)oxy]carbonyl} Docetaxel