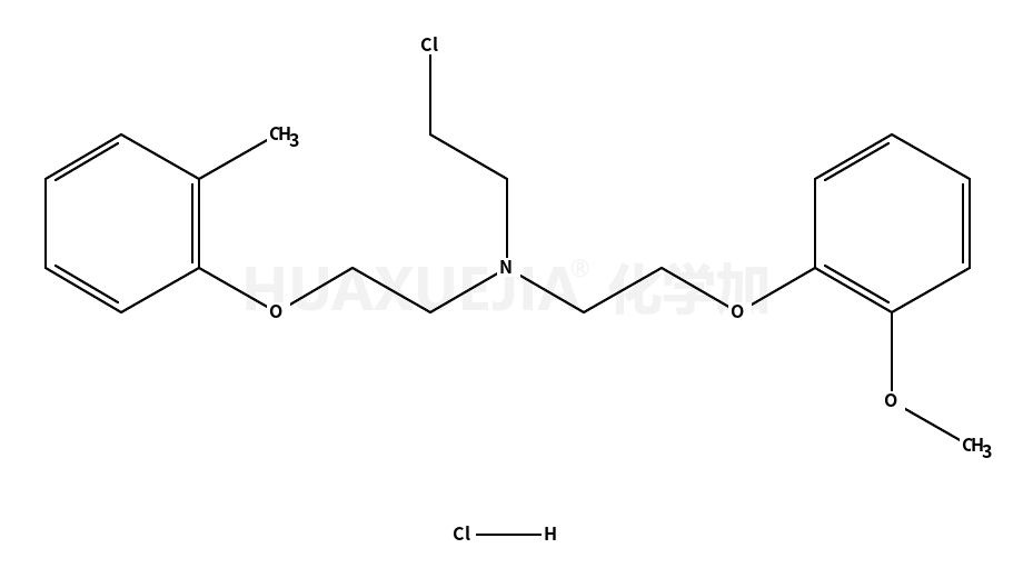
N-(2-chloroethyl)-N-[2-(2-methoxyphenoxy)ethyl]-2-(2-methylphenoxy)ethanamine,hydrochloride

N-(2-chloroethyl)-N-[2-(2-methoxyphenoxy)ethyl]-2-(2-methylphenoxy)ethanamine,hydrochloride 基本信息
CAS号 63918-02-5 分子式 C20H27Cl2NO3
分子量 400.33900 精确质量  399.13700
PSA  N/A LogP  N/A

合成路线 1

  • 10587-65-2

    乙醇, 2-[[2-(2-甲氧基苯氧基)乙基]氨基]-

  • 63918-02-5

    N-(2-chloroethyl)-N-[2-(2-methoxyphenoxy)ethyl]-2-(2-methylphenoxy)ethanamine,hydrochloride

  • 53815-60-4

    愈创木酚 2-氯乙基醚

  • 63918-02-5

    N-(2-chloroethyl)-N-[2-(2-methoxyphenoxy)ethyl]-2-(2-methylphenoxy)ethanamine,hydrochloride

  • 18181-71-0

    2-(2-甲氧基苯氧基)乙醇

  • 63918-02-5

    N-(2-chloroethyl)-N-[2-(2-methoxyphenoxy)ethyl]-2-(2-methylphenoxy)ethanamine,hydrochloride

  • 18800-32-3

    1-(2-溴乙氧基)-2-甲基苯

  • 63918-02-5

    N-(2-chloroethyl)-N-[2-(2-methoxyphenoxy)ethyl]-2-(2-methylphenoxy)ethanamine,hydrochloride