罗红霉素

罗红霉素 基本信息
CAS号 56092-81-0 分子式 C41H72O9
分子量 709.00500 精确质量  708.51800
PSA  N/A LogP  N/A

合成路线 1

  • 1027419-70-0

    1027419-70-0

  • 56092-81-0

    罗红霉素

  • 440104-10-9

    440104-10-9

  • 56092-81-0

    罗红霉素

  • 143291-59-2

    143291-59-2

  • 56092-81-0

    罗红霉素

  • 143236-76-4

    143236-76-4

  • 56092-81-0

    罗红霉素

  • 143236-77-5

    143236-77-5

  • 56092-81-0

    罗红霉素

  • 82917-26-8

    [2R,4S]-5-hydroxy-2,4-dimethyl-pentanoic acid methyl ester

  • 56092-81-0

    罗红霉素

  • 157733-59-0

    157733-59-0

  • 56092-81-0

    罗红霉素

  • 96612-17-8

    96612-17-8

  • 56092-81-0

    罗红霉素

  • 7586-22-3

    7586-22-3

  • 56092-81-0

    罗红霉素

  • 440104-15-4

    [3S,5R]-S-(1-phenyl-1H-tetrazol-5-yl)-6-(4-methoxy-benzyloxy)-3,5-dimethyl-hexan-1-thiol

  • 56092-81-0

    罗红霉素

  • 440104-11-0

    440104-11-0

  • 56092-81-0

    罗红霉素

  • 440104-14-3

    [3S,5R]-6-(4-methoxy-benzyloxy)-3,5-dimethyl-hexan-1-ol

  • 56092-81-0

    罗红霉素

  • 440104-12-1

    [3S,5R]-6-(4-methoxy-benzyloxy)-3,5-dimethyl-hexanenitrile

  • 56092-81-0

    罗红霉素

  • 440104-13-2

    440104-13-2

  • 56092-81-0

    罗红霉素

  • 128329-49-7

    128329-49-7

  • 56092-81-0

    罗红霉素

  • 128329-48-6

    128329-48-6

  • 56092-81-0

    罗红霉素

  • 128329-46-4

    128329-46-4

  • 56092-81-0

    罗红霉素

  • 128329-45-3

    (R)-2-{(4R,5S,6S)-6-[[(2S,2'R,5'S)-5'-[(R)-1-(tert-butyldimethylsilyloxy)ethyl]-2,5'-dimethyl-octahydro-2,2'-bifuran-5-yl]methyl]-2,2,5-trimethyl-1,3-dioxan-4-yl}propan-1-ol

  • 56092-81-0

    罗红霉素

  • 128329-63-5

    (3S,5S)-6-(tert-butyldiphenylsilyloxy)-3,5-dimethylhexan-1-ol

  • 56092-81-0

    罗红霉素

  • 103108-78-7

    103108-78-7

  • 56092-81-0

    罗红霉素

  • 128329-52-2

    128329-52-2

  • 56092-81-0

    罗红霉素

  • 128329-89-5

    methyl (4R,6S,8S,12R,14R,18R,E)-18-((4R,5S,6S)-6-(((2S,2'R,5'S)-5'-((R)-1-((tert-butyldimethylsilyl)oxy)ethyl)-2,5'-dimethyloctahydro-[2,2'-bifuran]-5-yl)methyl)-2,2,5-trimethyl-1,3-dioxan-4-yl)-11-hydroxy-4,6,8,12,14-pentamethyl-9-oxononadec-16-enoate

  • 56092-81-0

    罗红霉素

  • 128329-87-3

    128329-87-3

  • 56092-81-0

    罗红霉素

  • 128329-88-4

    128329-88-4

  • 56092-81-0

    罗红霉素

  • 128329-65-7

    128329-65-7

  • 56092-81-0

    罗红霉素

  • 104554-84-9

    (2'S,4R,5S,6'S,7'S)-3-(7'-((1'',1''-dimethylethyl)dimethylsiloxy)-2',4',6'-trimethyl-4'-octenoyl)-4-methyl-5-phenyl-1,3-oxazolidin-2-one

  • 56092-81-0

    罗红霉素

  • 128329-64-6

    128329-64-6

  • 56092-81-0

    罗红霉素

  • 128329-62-4

    128329-62-4

  • 56092-81-0

    罗红霉素

  • 128329-57-7

    128329-57-7

  • 56092-81-0

    罗红霉素

  • 88636-05-9

    88636-05-9

  • 56092-81-0

    罗红霉素

  • 104554-88-3

    (2S,4'R,6'E)-1-(2',4'-dimethyl-7'-phenyl-6'-heptenoyl)-2-(hydroxymethyl)pyrrolidine

  • 56092-81-0

    罗红霉素

  • 128329-59-9

    (4S,8S,9S)-9-((1,1-dimethylethyl)dimethylsiloxy)-4,6,8-trimethyl-2,6-decadienoic acid methyl ester

  • 56092-81-0

    罗红霉素

  • 89355-32-8

    89355-32-8

  • 56092-81-0

    罗红霉素

  • 104554-80-5

    (4S,5S)-5-((1,1-dimethylethyl)dimethylsiloxy)-2,4-dimethyl-2-hexenoic acid ethyl ester

  • 56092-81-0

    罗红霉素

  • 104554-89-4

    (4R,6E)-2,4-dimethyl-7-phenyl-6-heptenoic acid

  • 56092-81-0

    罗红霉素

  • 103108-77-6

    (4S,8S,9S)-9-hydroxy-4,6,8-trimethyl-2,6-decadienoic acid methyl ester

  • 56092-81-0

    罗红霉素

  • 128329-58-8

    128329-58-8

  • 56092-81-0

    罗红霉素

  • 104554-82-7

    (4S,5S)-5-((1,1-dimethylethyl)dimethylsiloxy)-2,4-dimethyl-1-iodo-2-hexene

  • 56092-81-0

    罗红霉素

  • 104554-81-6

    (2E,4S,5S)-5-((1,1-dimethylethyl)dimethylsiloxy)-2,4-dimethyl-2-hexen-2-ol

  • 56092-81-0

    罗红霉素

  • 128329-61-3

    128329-61-3

  • 56092-81-0

    罗红霉素

  • 99328-41-3

    99328-41-3

  • 56092-81-0

    罗红霉素

  • 108763-90-2

    (2S,3S)-3-((1,1-dimethylethyl)dimethylsiloxy)-2-methyl-1-butanol

  • 56092-81-0

    罗红霉素

  • 440103-97-9

    440103-97-9

  • 56092-81-0

    罗红霉素

  • 440103-98-0

    440103-98-0

  • 56092-81-0

    罗红霉素

  • 440103-99-1

    440103-99-1

  • 56092-81-0

    罗红霉素

  • 440104-01-8

    440104-01-8

  • 56092-81-0

    罗红霉素

  • 440104-00-7

    [2S,2(2R,5S,5(1R)),7S,8S,9R,10R]-7-hydroxy-9-triisopropylsilyloxy-8,10-dimethyl-2-[5-methyl-5-(1-(t-butyldimethylsilyloxy)-ethyl)tetrahydrofuran-2-yl]-2-trimethylsilyloxy-11-trityloxy-undecan-5-one

  • 56092-81-0

    罗红霉素

  • 440104-02-9

    440104-02-9

  • 56092-81-0

    罗红霉素

  • 440104-24-5

    440104-24-5

  • 56092-81-0

    罗红霉素

  • 440103-89-9

    440103-89-9

  • 56092-81-0

    罗红霉素

  • 440103-83-3

    440103-83-3

  • 56092-81-0

    罗红霉素

  • 440103-82-2

    [2S,2(2R),5R,5(1S)]-5-[3-benzenesulfonyl-1-(trimethylsilyloxy)-1-methyl-propyl]-2-(1-(t-butyldimethylsiloxy)-ethyl)-2-methyl-tetrahydrofuran

  • 56092-81-0

    罗红霉素

  • 440103-88-8

    440103-88-8

  • 56092-81-0

    罗红霉素

  • 440103-87-7

    [2R,3R,4S,5S]-3-((triisopropylsilyl)oxy)-5-(4-methoxy-benzyloxy)-2,4-dimethylheptane-1,7-diol

  • 56092-81-0

    罗红霉素

  • 440659-80-3

    [2R,3R,4R,5R,6R]-2,4,6-trimethyl-5-(4-methoxybenzyloxy)-3-((t-butyldimethylsilyl)oxy)-heptane-1,7-diol

  • 56092-81-0

    罗红霉素

  • 440103-94-6

    [4S,6S,6(4S,5R)]-6-[2-(4-methoxyphenyl)-5-methyl-[1,3]dioxan-4-yl]-4-methyl-hept-2-enoic acid methyl ester

  • 56092-81-0

    罗红霉素

  • 440103-92-4

    440103-92-4

  • 56092-81-0

    罗红霉素

  • 440103-91-3

    [2R,3R,4S,4(4R,5R)]-4-[5-methyl-2-(4-methoxyphenyl)-[1,3]dioxan-4-yl]-2-methyl-pentan-1,3-diol

  • 56092-81-0

    罗红霉素

  • 440103-93-5

    [2S,4S,4(4S,5R)]-4-[5-methyl-2-(4-methoxyphenyl)-[1,3]dioxan-4-yl]-2-methyl-pentan-1-ol

  • 56092-81-0

    罗红霉素

  • 440104-09-6

    440104-09-6

  • 56092-81-0

    罗红霉素

  • 440103-95-7

    440103-95-7

  • 56092-81-0

    罗红霉素

  • 440103-96-8

    methyl (4R,6S,8S)-9-hydroxy-4,6,8-trimethylnonanoate

  • 56092-81-0

    罗红霉素

  • 37905-03-6

    (E,E)-8-acetoxy-2,6-dimethyl-2,6-octadien-1-ol

  • 56092-81-0

    罗红霉素

  • 37905-04-7

    acetic acid,8-bromo-3,7-dimethylocta-2,6-dien-1-ol

  • 56092-81-0

    罗红霉素

  • 105-87-3

    乙酸香叶酯

  • 56092-81-0

    罗红霉素

  • 440104-21-2

    [2R,3S,6E]-toluene-4-sulfonic acid-9-benzenesulfonyl-2-(t-butyldimethylsiloxy)-3-hydroxy-3,7-dimethyl-non-6-enyl ester

  • 56092-81-0

    罗红霉素

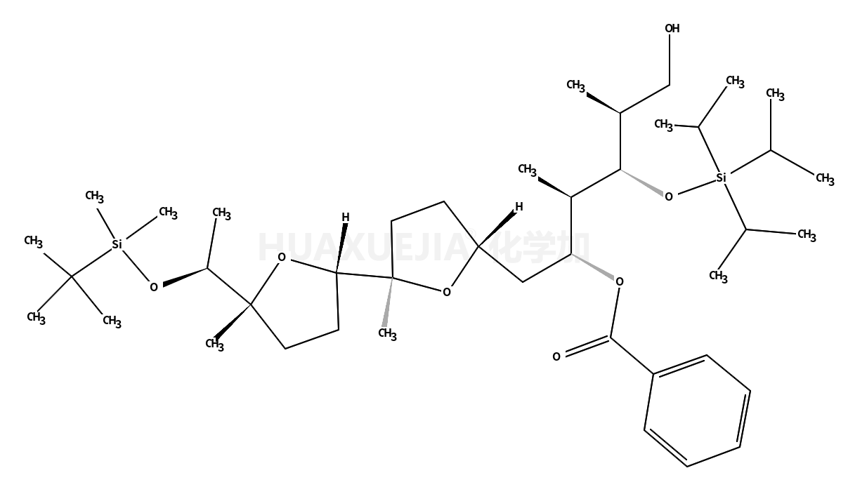
  • 440104-23-4

    benzoic acid 3-hydroxy-1-[5'-(1-hydroxy-ethyl)-2,5'-dimethyl-octahydro-[2,2']bifuranyl-5-yl-methyl]-20-methoxycarbonyl-2,4,8,10,14,16,18-heptamethyl-11,13-dioxo-eicos-5-enyl ester

  • 56092-81-0

    罗红霉素

  • 440104-18-7

    440104-18-7

  • 56092-81-0

    罗红霉素

  • 440104-25-6

    benzoic acid 3-hydroxy-1-[5'-(1-hydroxy-ethyl)-2,5'-dimethyl-octahydro-[2,2']bifuranyl-5-yl-methyl]-20-methoxycarbonyl-2,4,8,10,14,16,18-heptamethyl-11,13-dioxo-eicos-5-enyl ester

  • 56092-81-0

    罗红霉素

  • 104554-85-0

    [4R,6S,8S]-4,6,8-trimethyl-9-oxo-decanoic acid methyl ester

  • 56092-81-0

    罗红霉素

  • 128329-75-9

    128329-75-9

  • 56092-81-0

    罗红霉素

  • 128329-85-1

    128329-85-1

  • 56092-81-0

    罗红霉素

  • 128329-79-3

    128329-79-3

  • 56092-81-0

    罗红霉素

  • 128329-71-5

    (1'R,4R,5S,6R)-4-(2'-(benzyloxy)-1'-methylethyl)-6-(hydroxymethyl)-2,2,5-trimethyl-1,3-dioxane

  • 56092-81-0

    罗红霉素

  • 108814-35-3

    (2R,3R,4S)-1-(benzyloxy)-2,4-dimethyl-3-hydroxy-5-hexene

  • 56092-81-0

    罗红霉素

  • 112497-05-9

    ((S)-4-((tert-butyldimethylsilyl)oxy)-4-((2R,5S)-5-((R)-1-((tert-butyldimethylsilyl)oxy)ethyl)-5-methyltetrahydrofuran-2-yl)pentyl)triphenylphosphonium iodide

  • 56092-81-0

    罗红霉素

  • 128329-83-9

    128329-83-9

  • 56092-81-0

    罗红霉素

  • 128329-86-2

    ((R)-1-((2R,2'S,5S,5'S)-5'-(((4S,5S,6R)-6-((R)-1-(benzyloxy)propan-2-yl)-2,2,5-trimethyl-1,3-dioxan-4-yl)methyl)-2',5-dimethyloctahydro-[2,2'-bifuran]-5-yl)ethoxy)(tert-butyl)dimethylsilane

  • 56092-81-0

    罗红霉素

  • 128329-70-4

    128329-70-4

  • 56092-81-0

    罗红霉素

  • 128329-69-1

    (2R,3R,4S)-1-(benzyloxy)-2,4-dimethyl-6-(diphenyl-tert-butylsiloxy)-2,4-hexanediol

  • 56092-81-0

    罗红霉素

  • 128329-66-8

    128329-66-8

  • 56092-81-0

    罗红霉素

  • 128329-80-6

    (1''R,1'R,2R,5S)-5-(1'-(tert-butyldimethylsiloxy)ethyl)-5-methyl-2-(1''-(tert-butyldimethylsiloxy)-1''-methyl-4''-(benzyloxy)butyl)tetrahydrofuran

  • 56092-81-0

    罗红霉素

  • 128329-84-0

    128329-84-0

  • 56092-81-0

    罗红霉素

  • 128329-81-7

    128329-81-7

  • 56092-81-0

    罗红霉素

  • 128329-67-9

    128329-67-9

  • 56092-81-0

    罗红霉素

  • 128329-78-2

    128329-78-2

  • 56092-81-0

    罗红霉素

  • 128329-77-1

    (1S,2R,6R,4Z)-5-(3'-(benzyloxy)propyl)-1,2,4-trimethyl-3,9-dioxabicyclo[4.2.1]non-4-ene

  • 56092-81-0

    罗红霉素

  • 73814-77-4

    (3R,4S)-1-(benzyloxy)-3-hydroxy-4-(hydroxymethyl)-2-methyl-5-hexene

  • 56092-81-0

    罗红霉素

  • 128329-68-0

    128329-68-0

  • 56092-81-0

    罗红霉素

  • 110497-18-2

    ionomycin methyl ester

  • 56092-81-0

    罗红霉素