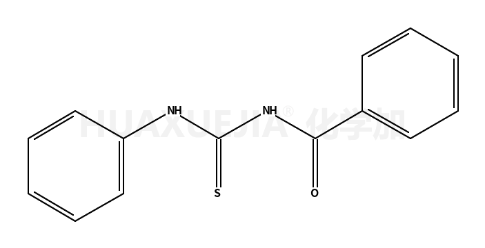
1-苯酰基-3-苯基硫脲

1-苯酰基-3-苯基硫脲 基本信息
CAS号 4921-82-8 分子式 C14H12N2OS
分子量 256.32300 精确质量  256.06700
PSA  N/A LogP  N/A

合成路线 1

  • 74497-02-2

    1-aminobenzene

  • +

  • 532-55-8

    苯甲酰基异硫氰酸酯

  • ~98%

  • 4921-82-8

    1-苯酰基-3-苯基硫脲

  • 1147550-11-5

    1147550-11-5

  • +

  • 98-88-4

    苯甲酰氯

  • +

  • 74497-02-2

    1-aminobenzene

  • ~95%

  • 4921-82-8

    1-苯酰基-3-苯基硫脲

  • 540-72-7

    硫氰酸钠

  • +

  • 98-88-4

    苯甲酰氯

  • +

  • 74497-02-2

    1-aminobenzene

  • ~89%

  • 4921-82-8

    1-苯酰基-3-苯基硫脲

  • 1132-44-1

    1-乙酰基-3-苯基-2-硫脲

  • +

  • 98-88-4

    苯甲酰氯

  • ~86%

  • 4921-82-8

    1-苯酰基-3-苯基硫脲

  • 98095-85-3

    98095-85-3

  • ~49%

  • 4921-82-8

    1-苯酰基-3-苯基硫脲

  • 108306-66-7

    3-Benzoylimino-5,6-dihydro-3H[imidazo[2,1-c][1,2,4]dithiazole]

  • +

  • 74497-02-2

    1-aminobenzene

  • ~48%

  • 96-45-7

    乙烯硫脲

  • +

  • 4921-82-8

    1-苯酰基-3-苯基硫脲

  • 124-41-4

    甲醇钠

  • +

  • 98095-85-3

    98095-85-3

  • 93-58-3

    苯酸甲酯

  • +

  • 4921-82-8

    1-苯酰基-3-苯基硫脲

  • 7647-01-0

    氯化氢

  • +

  • 72149-84-9

    N-phenylthiocarbamoyl-benzimidic acid methyl ester

  • 4921-82-8

    1-苯酰基-3-苯基硫脲

  • 66365-41-1

    [triphenyl(thiocyanato)-λ5-phosphanyl] thiocyanate

  • +

  • 74497-02-2

    1-aminobenzene

  • +

  • 65-85-0

    苯甲酸

  • 4921-82-8

    1-苯酰基-3-苯基硫脲

  • 103-85-5

    苯基硫脲

  • 4921-82-8

    1-苯酰基-3-苯基硫脲

  • 1147550-11-5

    1147550-11-5

  • +

  • 98-88-4

    苯甲酰氯

  • 4921-82-8

    1-苯酰基-3-苯基硫脲

  • 108306-70-3

    3-(benzoylimino)-N-phenyl-5,6-dihydro-3H-imidazo[2,1-c][1,2,4]dithiazol-7-ium-7-carbimidothioate

  • 4921-82-8

    1-苯酰基-3-苯基硫脲

  • 65-85-0

    苯甲酸

  • 4921-82-8

    1-苯酰基-3-苯基硫脲

  • 142-04-1

    盐酸苯胺

  • 4921-82-8

    1-苯酰基-3-苯基硫脲

  • 108306-65-6

    3-Benzoylimino-5,6-dihydro-3H[imidazo[2,1-c][1,2,4]dithiazole] hydrochloride

  • 4921-82-8

    1-苯酰基-3-苯基硫脲

  • 108324-95-4

    1-(N-Benzoylthiocarbamoyl)-2-imidazolidinethione

  • 4921-82-8

    1-苯酰基-3-苯基硫脲

  • 532-55-8

    苯甲酰基异硫氰酸酯

  • 4921-82-8

    1-苯酰基-3-苯基硫脲

  • 98-88-4

    苯甲酰氯

  • 4921-82-8

    1-苯酰基-3-苯基硫脲