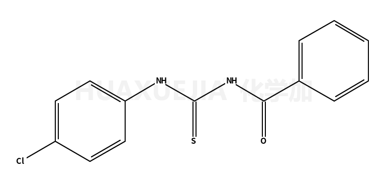
N-[(4-chlorophenyl)carbamothioyl]benzamide

N-[(4-chlorophenyl)carbamothioyl]benzamide 基本信息
CAS号 4921-83-9 分子式 C14H11ClN2OS
分子量 290.76800 精确质量  290.02800
PSA  N/A LogP  N/A

合成路线 1

  • 106-47-8

    对氯苯胺

  • +

  • 532-55-8

    苯甲酰基异硫氰酸酯

  • ~87%

  • 4921-83-9

    N-[(4-chlorophenyl)carbamothioyl]benzamide

  • 65-85-0

    苯甲酸

  • 4921-83-9

    N-[(4-chlorophenyl)carbamothioyl]benzamide

  • 98-88-4

    苯甲酰氯

  • 4921-83-9

    N-[(4-chlorophenyl)carbamothioyl]benzamide

  • 1147550-11-5

    1147550-11-5

  • +

  • 106-47-8

    对氯苯胺

  • +

  • 98-88-4

    苯甲酰氯

  • 4921-83-9

    N-[(4-chlorophenyl)carbamothioyl]benzamide