欢迎来到化学加!萃聚英才,共享化学!化学加,加您更精彩!
首页
注册入驻
网站资讯
化学加_合成化学产业资源聚合服务平台
www.huaxuejia.cn
美他硫脲
美他硫脲 基本信息
CAS号
926-93-2
分子式
C7H14N4S2
分子量
218.34300
精确质量
218.06600
PSA
N/A
LogP
N/A
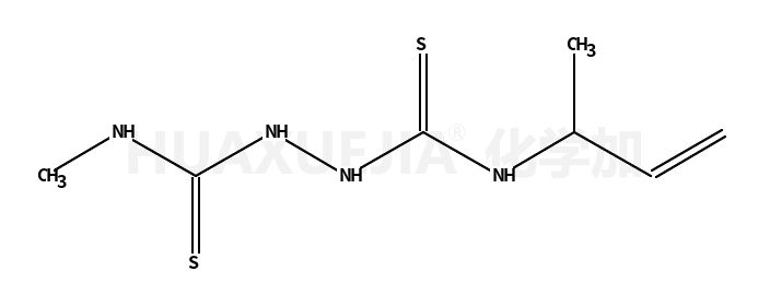
合成路线
共
1
页
2253-71-6
1-methyl-allyl isothiocyanate
+
6610-29-3
4-甲基氨基硫脲
→
926-93-2
美他硫脲
合成路线