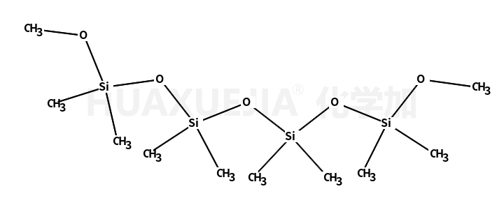
methoxy-[[[methoxy(dimethyl)silyl]oxy-dimethylsilyl]oxy-dimethylsilyl]oxy-dimethylsilane

methoxy-[[[methoxy(dimethyl)silyl]oxy-dimethylsilyl]oxy-dimethylsilyl]oxy-dimethylsilane 基本信息
CAS号 17928-31-3 分子式 C10H30O5Si4
分子量 342.68400 精确质量  342.11700
PSA  N/A LogP  N/A

合成路线 1

  • 67-56-1

    甲醇

  • +

  • 58434-69-8

    N-phenyl-1,1,3,3,5,5,7,7-octamethyl-1,3,5,7-tetrasila-2-aza-4,6,8-trioxacyclooctane

  • 3081-07-0

    1,1,3,3,5,5,7,7-八甲基-1,7-四硅氧烷二醇

  • +

  • 17928-31-3

    methoxy-[[[methoxy(dimethyl)silyl]oxy-dimethylsilyl]oxy-dimethylsilyl]oxy-dimethylsilane

  • 67-56-1

    甲醇

  • +

  • 75-78-5

    二氯二甲基硅烷

  • 17928-31-3

    methoxy-[[[methoxy(dimethyl)silyl]oxy-dimethylsilyl]oxy-dimethylsilyl]oxy-dimethylsilane

  • 1112-39-6

    二甲基二甲氧基硅烷

  • 17928-31-3

    methoxy-[[[methoxy(dimethyl)silyl]oxy-dimethylsilyl]oxy-dimethylsilyl]oxy-dimethylsilane