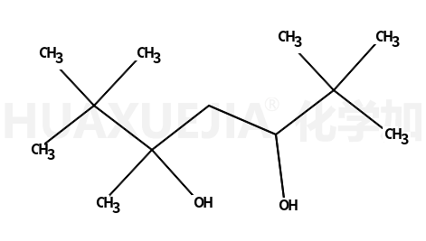
2,2,3,6,6-pentamethylheptane-3,5-diol

2,2,3,6,6-pentamethylheptane-3,5-diol 基本信息
CAS号 20930-37-4 分子式 C12H26O2
分子量 202.33400 精确质量  202.19300
PSA  N/A LogP  N/A

合成路线 1

  • 75-97-8

    频哪酮

  • +

  • 60-29-7

    乙醚

  • +

  • 920-39-8

    异丙基溴化镁

  • 20930-37-4

    2,2,3,6,6-pentamethylheptane-3,5-diol

  • +

  • 3205-30-9

    5-hydroxy-2,2,5,6,6-pentamethylheptan-3-one

  • 75-97-8

    频哪酮

  • +

  • 60-29-7

    乙醚

  • +

  • 926-62-5

    异丁基溴化镁

  • 20930-37-4

    2,2,3,6,6-pentamethylheptane-3,5-diol

  • +

  • 3205-30-9

    5-hydroxy-2,2,5,6,6-pentamethylheptan-3-one

  • 75-97-8

    频哪酮

  • +

  • 60-29-7

    乙醚

  • 20930-37-4

    2,2,3,6,6-pentamethylheptane-3,5-diol

  • +

  • 3205-30-9

    5-hydroxy-2,2,5,6,6-pentamethylheptan-3-one

  • 75-97-8

    频哪酮

  • 20930-37-4

    2,2,3,6,6-pentamethylheptane-3,5-diol

  • 3205-30-9

    5-hydroxy-2,2,5,6,6-pentamethylheptan-3-one

  • 20930-37-4

    2,2,3,6,6-pentamethylheptane-3,5-diol