欢迎来到化学加!萃聚英才,共享化学!化学加,加您更精彩!
首页
注册入驻
网站资讯
化学加_合成化学产业资源聚合服务平台
www.huaxuejia.cn
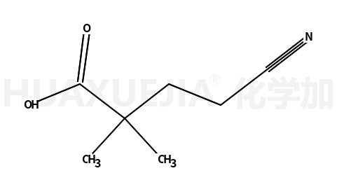
2,2-二甲基-4-氰基丁酸
2,2-二甲基-4-氰基丁酸 基本信息
CAS号
6939-69-1
分子式
C7H11NO2
分子量
141.16800
精确质量
141.07900
PSA
N/A
LogP
N/A
合成路线
共
1
页
6140-61-0
2,2-二甲基-4-氰基丁醛
→
6939-69-1
2,2-二甲基-4-氰基丁酸
合成路线