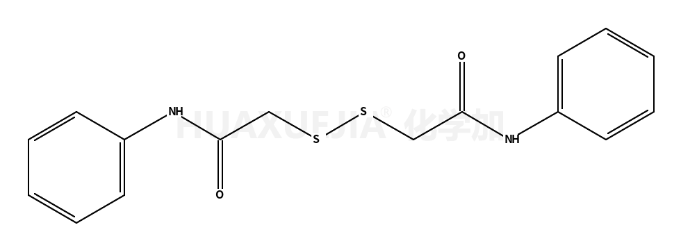
N-phenyl-mercaptoacetamide disulfide

N-phenyl-mercaptoacetamide disulfide 基本信息
CAS号 3095-79-2 分子式 C16H16N2O2S2
分子量 332.44000 精确质量  332.06500
PSA  N/A LogP  N/A

合成路线 1

  • 64-17-5

    乙醇

  • +

  • 4822-44-0

    2-疏基乙酰苯胺

  • +

  • 7705-08-0

    无水三氯化铁

  • 3095-79-2

    N-phenyl-mercaptoacetamide disulfide

  • 4822-44-0

    2-疏基乙酰苯胺

  • +

  • 7758-99-8

    硫酸铜,五水

  • 3095-79-2

    N-phenyl-mercaptoacetamide disulfide

  • 5428-95-5

    S-(2-anilino-2-oxoethyl) carbamothioate

  • +

  • 7732-18-5

  • 3095-79-2

    N-phenyl-mercaptoacetamide disulfide

  • 10021-77-9

    2,2'-disulfanediyldiacetylchloride

  • +

  • 74497-02-2

    1-aminobenzene

  • 3095-79-2

    N-phenyl-mercaptoacetamide disulfide

  • 65291-49-8

    2-(carboxymethylsulfanylcarbonylsulfanyl)acetic acid

  • +

  • 74497-02-2

    1-aminobenzene

  • 3095-79-2

    N-phenyl-mercaptoacetamide disulfide

  • 505-73-7

    二硫代甘醇酸

  • +

  • 74497-02-2

    1-aminobenzene

  • 3095-79-2

    N-phenyl-mercaptoacetamide disulfide

  • 5428-95-5

    S-(2-anilino-2-oxoethyl) carbamothioate

  • 3095-79-2

    N-phenyl-mercaptoacetamide disulfide

  • 521935-97-7

    521935-97-7

  • 3095-79-2

    N-phenyl-mercaptoacetamide disulfide

  • 74497-02-2

    1-aminobenzene

  • 3095-79-2

    N-phenyl-mercaptoacetamide disulfide

  • 4822-44-0

    2-疏基乙酰苯胺

  • 3095-79-2

    N-phenyl-mercaptoacetamide disulfide