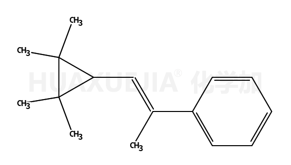
1-(2,2,3,3-tetramethylcyclopropyl)prop-1-en-2-ylbenzene

1-(2,2,3,3-tetramethylcyclopropyl)prop-1-en-2-ylbenzene 基本信息
CAS号 88951-74-0 分子式 C16H22
分子量 214.34600 精确质量  214.17200
PSA  N/A LogP  N/A

合成路线 1

  • 563-79-1

    2,3-二甲基-2-丁烯

  • +

  • 65051-83-4

    1-cycloprop-2-en-1-yl-2-methylbenzene

  • ~90%

  • 767-60-2

    3-甲基茚

  • +

  • 88951-74-0

    1-(2,2,3,3-tetramethylcyclopropyl)prop-1-en-2-ylbenzene