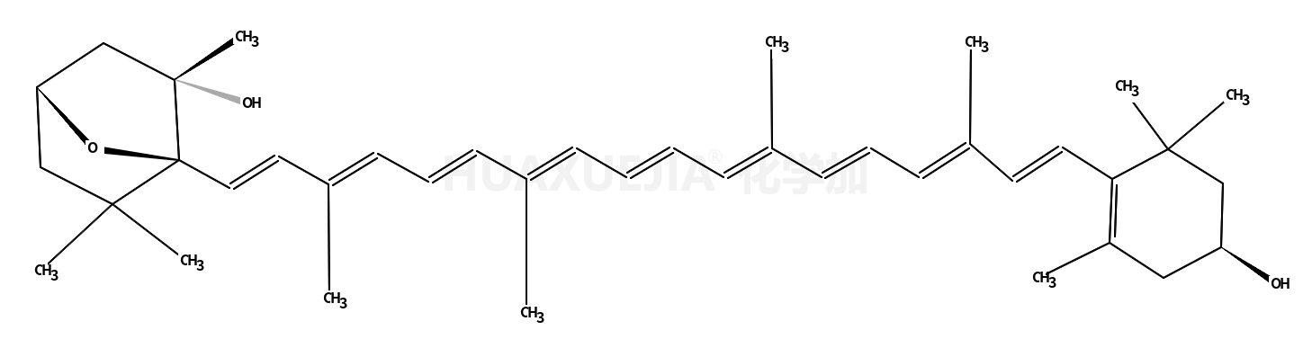
b,b-叶红素, 3,6-环氧-5,6-二氢-3',5-二羟基-,(3S,3'R,5R,6R)-

b,b-叶红素, 3,6-环氧-5,6-二氢-3',5-二羟基-,(3S,3'R,5R,6R)- 基本信息
CAS号 103955-77-7 分子式 C40H56O3
分子量 584.87100 精确质量  584.42300
PSA  N/A LogP  N/A

合成路线 1

  • 737763-62-1

    (2E,4E)-3-methyl-5-[(1R,4S,6R)-2,2,6-trimethyl-6-triethylsilyloxy-7-oxabicyclo[2.2.1]hept-1-yl]penta-2,4-dienal

  • 103955-77-7

    b,b-叶红素, 3,6-环氧-5,6-二氢-3',5-二羟基-,(3S,3'R,5R,6R)-

  • 737763-71-2

    ethyl (2E,4E)-5-((1R,2R,4S)-2-hydroxy-2,6,6-trimethyl-7-oxabicyclo[2.2.1]heptan-1-yl)-3-methylpenta-2,4-dienoate

  • 103955-77-7

    b,b-叶红素, 3,6-环氧-5,6-二氢-3',5-二羟基-,(3S,3'R,5R,6R)-

  • 737763-72-3

    (2E,4E)-5-[(1R,2R,4S)-2-hydroxy-2,6,6-trimethyl-7-oxabicyclo[2.2.1]hept-1-yl]-3-methylpenta-2,4-dienenitrile

  • 103955-77-7

    b,b-叶红素, 3,6-环氧-5,6-二氢-3',5-二羟基-,(3S,3'R,5R,6R)-

  • 395089-70-0

    (2E,4E)-ethyl 5-((1S,4S,6R)-4-((tert-butyldimethylsilyl)oxy)-2,2,6-trimethyl-7-oxabicyclo[4.1.0]heptan-1-yl)-3-methylpenta-2,4-dienoate

  • 103955-77-7

    b,b-叶红素, 3,6-环氧-5,6-二氢-3',5-二羟基-,(3S,3'R,5R,6R)-

  • 39760-56-0

    ethyl 4-diethoxyphosphoryl-3-methylbut-2-enoate

  • 103955-77-7

    b,b-叶红素, 3,6-环氧-5,6-二氢-3',5-二羟基-,(3S,3'R,5R,6R)-

  • 87549-50-6

    Diethyl [(2E)-3-cyano-2-methyl-2-propen-1-yl]phosphonate

  • 103955-77-7

    b,b-叶红素, 3,6-环氧-5,6-二氢-3',5-二羟基-,(3S,3'R,5R,6R)-