欢迎来到化学加!萃聚英才,共享化学!化学加,加您更精彩!
首页
注册入驻
网站资讯
化学加_合成化学产业资源聚合服务平台
www.huaxuejia.cn
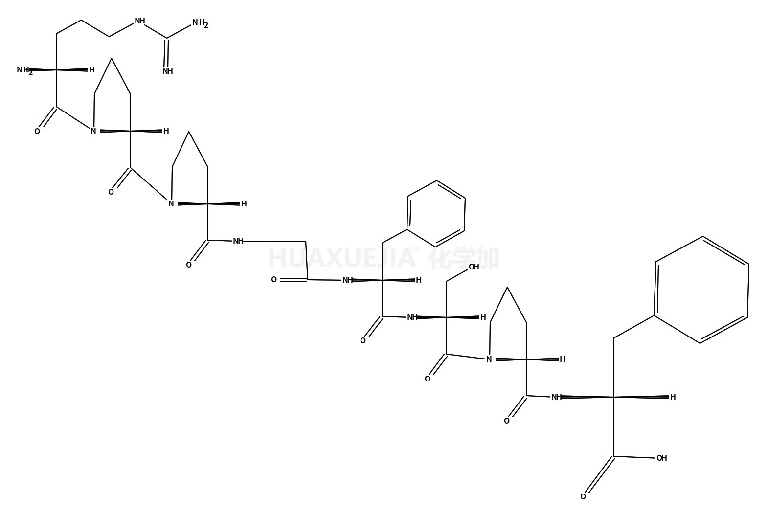
(DES-ARG9)-BRADYKININ
(DES-ARG9)-BRADYKININ 基本信息
CAS号
15958-92-6
分子式
C44H61N11O10
分子量
904.02300
精确质量
903.46000
PSA
N/A
LogP
N/A
合成路线
共
1
页
58-82-2
舒缓激肽
→
74-79-3
L-精氨酸
+
15958-92-6
(DES-ARG9)-BRADYKININ
合成路线