| 喹硫平半富马酸盐 基本信息 | |||
|---|---|---|---|
| CAS号 | 111974-72-2 | 分子式 | C46H54N6O8S2 |
| 分子量 | 883.08600 | 精确质量 | 882.34400 |
| PSA | 221.80000 | LogP | 4.04660 |
基本信息
展开↓
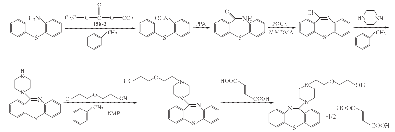
生产制备方法及用途展开↓
1. 2-异氰酸基二苯硫醚的制备
在反应瓶中加入2-氨基二苯硫醚20g(0.1mol)和甲苯125ml,在0~5ºC缓慢滴加三光气11.9g(0.04mol)的甲苯50ml溶液,加毕,升温至60ºC搅拌反应1h.反应液至澄清后,通入氮气除尽产生的光气,蒸除溶剂,得无色油状物2-异氰酸基二苯硫醚22g,直接用于下步反应.
2. 10H-二苯并[b,f][1,4]硫氮杂-11-酮 的制备
在反应瓶中加入上步一批量的2-异氰酸基二苯硫醚和多聚磷酸120g,升温至50ºC搅拌溶解,然后加热至100ºC搅拌反应3h.反应液由无色透明逐渐变黄,当颜色不再变化时结束反应,自然冷却至50ºC,剧烈搅拌下转
至冰水200ml中,析出固体,过滤,滤饼水洗,丙酮洗,得白色固体10H-二苯并[b,f][1,4]硫氮杂-11-酮21g, 收率96%(以2-氨基二苯醚计),mp259~260 ºC.
3. 11-氯-二苯并[b,f][1,4]硫氮杂的 的制备
在反应瓶中加入POCl2 100ml(1.07mol)、N,N-二甲基苯胺6g和10H-二苯并[b,f][1,4]硫氮杂-11-酮 18.2g(0.08mol),搅拌均匀,在氮气保护下加热回流反应4h.TLC跟踪[展开剂:乙醚/石油醚(1:1),R1=0.7].反应毕,减压蒸除溶剂,剩余物为褐色糊状物,溶于甲苯250ml,搅拌下转至冰水50ml中,静置30min后,分出甲苯层,水(50m×2)洗,无水硫酸镁干燥,过滤,滤液浓缩至体积50ml,直接用于下一步反应.
4. 11-哌嗪基二苯并[b,f][1,4] 硫氮杂 的制备
在反应瓶中加入上步所得的11-氯-二苯并[b,f][1,4]硫氮杂的 甲苯溶液(一批量),在室温下滴加(搅拌下)无水哌嗪17.2g(0.2mol)的甲苯溶液100ml,1h内加完,加热搅拌回流3h{TLC跟踪[展开剂:乙醚/石油醚(1:1),R1=0.5]}.反应毕,过滤,滤液水(100ml×2)洗,无水硫酸镁干燥,过滤,滤液直接用于下步反应.
5. 11-[4-[2-(2-羟基乙氧基)乙基]-1-哌嗪基]二苯并[b,f][1,4]硫氮杂 半富马酸盐(半富马酸喹硫平)的合成
在反应瓶中加入上步11-哌嗪基二苯并[b,f][1,4] 硫氮杂 的甲苯溶液,N-甲基吡咯烷酮50ml、2-(2-氯乙氧基)乙醇10.0g(0.08mol)、Na2CO3 17.0g(0.16mol)和少量NaI,搅拌加热回流24h.TLC跟踪[展开剂:甲醇/二氯甲烷(1:9),Rf=0.5].反应毕,减压蒸除甲苯,剩余物加入乙酸乙酯200ml,冰水洗至中性,无水硫酸镁干燥,过滤,滤液减压蒸除乙酸乙酯,得油状喹硫平.将油状喹硫平溶于无水乙醇100ml,加入富马酸4.6g(0.04mol),加热搅拌回流30min,冷却,静置过夜析晶.过滤,滤饼用无水乙醇洗,干燥,得黄色晶体11-[4-[2-(2-羟基乙氧基)乙基]-1-哌嗪基]二苯并[b,f][1,4]硫氮杂 半富马酸盐(半富马酸喹硫平)23.4g,收率66.3%,mp170~171.5 ºC,纯度>99%,(RP-HPLC法).

精神抑制药;是新一代非典型抗精神病药,临床作为精神分裂症的一线治疗药物.
物化性质展开↓
1. 性状:白色结晶性粉末
2. 密度(g/mL,25℃):未确定
3. 相对蒸汽密度(g/mL,空气=1):未确定
4. 熔点(ºC):174-176
5. 沸点(ºC,常压):未确定
6. 沸点(ºC,0.3mmHg):未确定
7. 折射率(n20/D):未确定
8. 闪点(ºC):未确定
9. 比旋光度(º):未确定
10. 自燃点或引燃温度(ºC):未确定
11. 蒸气压(mmHg,20ºC):未确定
12. 饱和蒸气压(kPa,25ºC):未确定
13. 燃烧热(KJ/mol):未确定
14. 临界温度(ºC):未确定
15. 临界压力(KPa):未确定
16. 油水(辛醇/水)分配系数的对数值:未确定
17. 爆炸上限(%,V/V):未确定
18. 爆炸下限(%,V/V):未确定
19. 溶解性:未确定
安全信息展开↓
MSDS 展开↓
海关数据查看详细
分子结构与计算化学数据展开↓
1、摩尔折射率:无可用的
2、摩尔体积(cm3/mol):无可用的
3、等张比容(90.2K):无可用的
4、表面张力(dyne/cm):无可用的
5、介电常数:无可用的
6、极化率(10-24cm3):无可用的
7、单一同位素质量:882.344453 Da
8、标称质量:882 Da
9、平均质量:883.0864 Da
1、 疏水参数计算参考值(XlogP):
2、 氢键供体数量:2
3、 氢键受体数量:14
4、 可旋转化学键数量:12
5、 互变异构体数量:
6、 拓扑分子极性表面积(TPSA):177
7、 重原子数量:62
8、 表面电荷:0
9、 复杂度:604
10、同位素原子数量:0
11、确定原子立构中心数量:0
12、不确定原子立构中心数量:0
13、确定化学键立构中心数量:1
14、不确定化学键立构中心数量:0
15、共价键单元数量:5