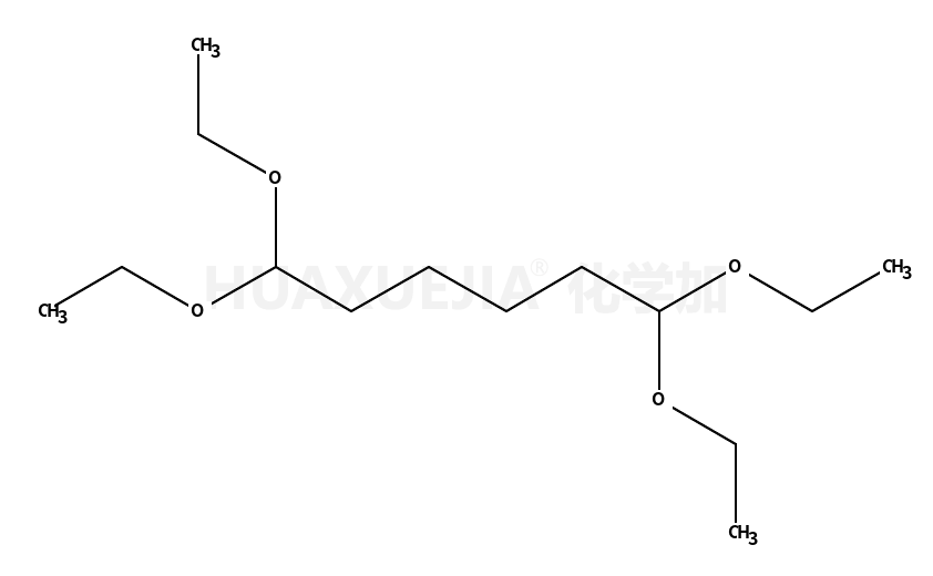
1,1,6,6-tetraethoxyhexane

1,1,6,6-tetraethoxyhexane 基本信息
CAS号 3975-12-0 分子式 C14H30O4
分子量 262.38600 精确质量  262.21400
PSA  N/A LogP  N/A

合成路线 1

  • 35573-93-4

    3-氯-1,1-二乙氧基丙烷

  • ~70%

  • 3975-12-0

    1,1,6,6-tetraethoxyhexane

  • 14444-77-0

    二乙基苯基甲烷

  • +

  • 23708-47-6

    (butane-1,4-diyl)dimagnesium dibromide

  • ~49%

  • 3975-12-0

    1,1,6,6-tetraethoxyhexane

  • 1072-21-5

    己二醛

  • +

  • 122-51-0

    原甲酸三乙酯

  • 3975-12-0

    1,1,6,6-tetraethoxyhexane

  • 122-51-0

    原甲酸三乙酯

  • 3975-12-0

    1,1,6,6-tetraethoxyhexane

  • 14444-77-0

    二乙基苯基甲烷

  • +

  • 86517-04-6

    magnesium,1-chlorobutane,bromide

  • 3975-12-0

    1,1,6,6-tetraethoxyhexane

  • +

  • 7334-93-2

    5-chlorovaleraldehyde diethyl acetal