氯嘧磺隆

氯嘧磺隆 基本信息
CAS号 90982-32-4 分子式 C15H15ClN4O6S
分子量 414.82100 精确质量  414.04000
PSA  144.96000 LogP  3.37040

基本信息 展开↓

CAS号:
90982-32-4
3D弹球模型:
立即前往扯扯看
分子式:
C15H15ClN4O6S
分子量:
414.82100
中文名称:
氯嘧磺隆
英文名称:
chlorimuron-ethyl
中文别名:
氯嘧磺隆;
α-[(4-氯-6-甲氧基嘧啶-2)氨基羰基]氨基苯甲酸乙酯;
豆磺隆;
2-(4-氯-6-甲氧基嘧啶-2-基氨基甲酰氨基磺酰基)苯甲酸乙酯;
豆威;
氯嗪磺隆;
氯嘧黄隆;
乙氯隆
英文别名:
chlorimuron-ethyl;
ethyl 2-{[(4-chloro-6-methoxypyrimidin-2-yl)carbamoyl]sulfamoyl}benzoate;
Chlorimuron ethyl;
ethyl 2-(4-chloro-6-methoxypyrimidin-2-ylcarbamoylsulfamoyl)benzoate;
ethyl 2-[[[[(4-chloro-6-methoxy-2-pyrimidinyl)amino]carbonyl]amino]sulfonyl]benzoate;
Chlorimuron-ethyl
精确分子量/精确质量:
414.04000
极性分子表面积/PSA:
144.96000
油水分配系数/LogP:

LogP值指的是某物质在正辛醇/水两相体系中的分配系数的对数值,反映了物质在油水两相中的分配情况。其中、LogP值越大,说明该物质越亲油;反之,LogP值越小,则说明该物质越亲水。
贝尔斯坦号/MDL:
MFCD00128063
InChI:
InChI=1/C15H15ClN4O6S/c1-3-26-13(21)9-6-4-5-7-10(9)27(23,24)20-15(22)19-14-17-11(16)8-12(18-14)25-2/h4-8H,3H2,1-2H3,(H2,17,18,19,20,22)

生产制备方法及用途展开↓

制备方法


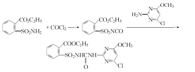
2-氨基-4,6-二氯嘧啶的制备 丙二酸二甲酯与胍的盐酸盐进行缩合环合反应,生成2-氨基-4,6-二羟基嘧啶,再在三乙胺存在下与三氯氧磷作用,生成2-氨基-4,6-二氯嘧啶。N-[(4,6-二氯嘧啶-2-氨基)羰基]邻乙氧羰基苯磺酰胺的制备 先将2-氨基-2,4-二氯嘧啶异氰酸酯化,生成2,4-二氯嘧啶-2-异氰酸酯,然后将其加入到邻乙氧羰基苯磺酰胺甲苯溶液中,加热回流6h,收率达84%,产物熔点160~162℃。氯嘧磺隆的合成 将上步中间产物溶于甲醇中,室温下滴加甲醇钠的甲醇溶液,室温反应3h,将适量水加入反应瓶中,得透明溶液。用2mol/L硫酸调节pH值至2,得白色固体,经过滤、水洗、干燥等后处理得原药,产率达80%,原药m.p.180~182℃国外生产的合成路线

合成制备方法


2-氨基-4,6-二氯嘧啶的制备 丙二酸二甲酯与胍的盐酸盐进行缩合环合反应,生成2-氨基-4,6-二羟基嘧啶,再在三乙胺存在下与三氯氧磷作用,生成2-氨基-4,6-二氯嘧啶。

N-[(4,6-二氯嘧啶-2-氨基)羰基]邻乙氧羰基苯磺酰胺的制备 先将2-氨基-2,4-二氯嘧啶异氰酸酯化,生成2,4-二氯嘧啶-2-异氰酸酯,然后将其加入到邻乙氧羰基苯磺酰胺甲苯溶液中,加热回流6h,收率达84%,产物熔点160~162℃。

氯嘧磺隆的合成 将上步中间产物溶于甲醇中,室温下滴加甲醇钠的甲醇溶液,室温反应3h,将适量水加入反应瓶中,得透明溶液。用2mol/L硫酸调节pH值至2,得白色固体,经过滤、水洗、干燥等后处理得原药,产率达80%,原药m.p.180~182℃

国外生产的合成路线

用途简介


氯嘧磺隆属磺酰脲类除草剂。作用机制为抑制植物体内乙酰乳酸合成酶的活性而干扰支链氨基酸的合成。主要用于大豆除草,防除莎草、阔叶杂草及某些禾本科杂草。芽后施药,用量<15g/hm2。 是一种选择性芽前、芽后除草剂

用途


1.氯嘧磺隆属磺酰脲类除草剂。作用机制为抑制植物体内乙酰乳酸合成酶的活性而干扰支链氨基酸的合成。主要用于大豆除草,防除莎草、阔叶杂草及某些禾本科杂草。芽后施药,用量<15g/hm2。 是一种选择性芽前、芽后除草剂

物化性质展开↓

外观与性状:
无色晶体
密度:
1.493 g/cm3
熔点:
180-182°C
折射率:
1.598
存储条件/存储方法:

0-6°C冷藏

稳定性相关:

在25℃、pH=5时,氯嘧磺隆在水中的半衰期为17~25d

其它信息:

1.      性状:白色固体

2.      密度(g/mL25 ºC):未确定

3.      相对蒸汽密度(g/mL,空气=1):未确定

4.      熔点(ºC):185187

5.      沸点(ºC,常压):未确定

6.      沸点(ºC0.1mmHg):未确定

7.      折射率:未确定

8.      闪点(ºC0.1mmHg):未确定

9.      比旋光度(º):未确定

10.   自燃点或引燃温度(ºC):未确定

11.   蒸气压(Pa,):0.49×10-9

12.   饱和蒸气压(kPa,60ºC):未确定

13.   燃烧热(KJ/mol):未确定

14.   临界温度(ºC):未确定

15.   临界压力(KPa):未确定

16.   油水(正辛醇/水)分配系数的对数值:320

17.   爆炸上限(%,V/V):未确定

18.   爆炸下限(%,V/V):未确定

19.   溶解性:可溶于二甲基甲酰胺、二氧六环,微溶于丙酮、乙醇,难溶于苯等非极性溶剂在水中溶解度为11mg/L (pH=5)、1.2g/L (pH=7)

安全信息展开↓

海关代码:
2935009012
危险类别码:
36
安全说明:
S26-S36
RTECS号:
DG5095000
安全标志:
S26:万一接触眼睛,立即使用大量清水冲洗并送医诊治。
S36:穿戴合适的防护服装。
危险标志:
Xi: Irritant;

毒理性展开↓

CHEMICAL IDENTIFICATION

RTECS NUMBER :
DG5095000
CHEMICAL NAME :
Benzoic acid, 2-(((((4-chloro-6-methoxy-2-pyrimidinyl)amino)carbony l)amino)sulfonyl)-, ethyl ester
CAS REGISTRY NUMBER :
90982-32-4
LAST UPDATED :
199710
DATA ITEMS CITED :
6
MOLECULAR FORMULA :
C15-H15-Cl-N4-O6-S
MOLECULAR WEIGHT :
414.85

HEALTH HAZARD DATA

ACUTE TOXICITY DATA

TYPE OF TEST :
LD50 - Lethal dose, 50 percent kill
ROUTE OF EXPOSURE :
Oral
SPECIES OBSERVED :
Rodent - rat
DOSE/DURATION :
4102 mg/kg
TOXIC EFFECTS :
Details of toxic effects not reported other than lethal dose value
REFERENCE :
85KYAH "Merck Index; an Encyclopedia of Chemicals, Drugs, and Biologicals", 11th ed., Rahway, NJ 07065, Merck & Co., Inc. 1989 Volume(issue)/page/year: 11,323,1989
TYPE OF TEST :
LC50 - Lethal concentration, 50 percent kill
ROUTE OF EXPOSURE :
Inhalation
SPECIES OBSERVED :
Rodent - rat
DOSE/DURATION :
>5 gm/m3/4H
TOXIC EFFECTS :
Details of toxic effects not reported other than lethal dose value
REFERENCE :
PEMNDP Pesticide Manual. (The British Crop Protection Council, 20 Bridport Rd., Thornton Heath CR4 7QG, UK) V.1- 1968- Volume(issue)/page/year: 9,147,1991
TYPE OF TEST :
LD50 - Lethal dose, 50 percent kill
ROUTE OF EXPOSURE :
Administration onto the skin
SPECIES OBSERVED :
Rodent - rabbit
DOSE/DURATION :
>2 gm/kg
TOXIC EFFECTS :
Details of toxic effects not reported other than lethal dose value
REFERENCE :
FMCHA2 Farm Chemicals Handbook. (Meister Pub., 37841 Euclid Ave., Willoughy, OH 44094) Volume(issue)/page/year: -,C76,1991
TYPE OF TEST :
LD50 - Lethal dose, 50 percent kill
ROUTE OF EXPOSURE :
Unreported
SPECIES OBSERVED :
Bird - duck
DOSE/DURATION :
>2510 mg/kg
TOXIC EFFECTS :
Details of toxic effects not reported other than lethal dose value
REFERENCE :
FMCHA2 Farm Chemicals Handbook. (Meister Pub., 37841 Euclid Ave., Willoughy, OH 44094) Volume(issue)/page/year: -,C76,1991
毒理学数据:

         急性毒性:大鼠经口LD50:4102mg/kg;大鼠吸入LC50:>5 mg/m3/4H;兔子皮肤接触LD50:>2mg/kg; 野鸭急性经口LD50:>2510mg/kg;蓝鳃鱼LC50:>100mg/L;水蚤LC50:>1000mg/L

MSDS 展开↓


模块 1. 化学品
  1.1 产品标识符
    : Chlorimuron Ethyl
    产品名称
    : Supelco
  1.2 鉴别的其他方法
    无数据资料
  1.3 有关的确定了的物质或混合物的用途和建议不适合的用途
    仅用于研发。不作为药品、家庭或其它用途。

模块 2. 危险性概述
  2.1 GHS-分类
    急性毒性, 经口 (类别 5)
    急性毒性, 吸入 (类别 4)
    急性毒性, 经皮 (类别 5)
  2.2 GHS 标记要素,包括预防性的陈述
    象形图
    警示词        警告    
    危险申明
    H303        吞咽可能有害。    
    H313        接触皮肤可能有害。    
    H332        吸入有害。    
    警告申明
    预防措施
    P261        避免吸入粉尘/烟/气体/烟雾/蒸气/喷雾.    
    P271        只能在室外或通风良好之处使用。    
    事故响应
    P304 + P340        如吸入: 将患者移到新鲜空气处休息,并保持呼吸舒畅的姿势。    
    P312        如感觉不适,呼救中毒控制中心或医生.    
    当心 - 物质尚未完全测试。
  2.3 其它危害物 - 无

模块 3. 成分/组成信息
  3.1 物 质
    : C15H15ClN4O6S
    分子式
    : 414.82 g/mol
    分子量
    组分        浓度或浓度范围    
    Chlorimuron-ethyl
    -
    化学文摘登记号(CAS        90982-32-4    
    No.)

模块 4. 急救措施
  4.1 必要的急救措施描述
    一般的建议
    请教医生。 向到现场的医生出示此安全技术说明书。
    吸入
    如果吸入,请将患者移到新鲜空气处。 如呼吸停止,进行人工呼吸。 请教医生。
    皮肤接触
    用肥皂和大量的水冲洗。 请教医生。
    眼睛接触
    用水冲洗眼睛作为预防措施。
    食入
    切勿给失去知觉者通过口喂任何东西。 用水漱口。 请教医生。
  4.2 主要症状和影响,急性和迟发效应
    据我们所知,此化学,物理和毒性性质尚未经完整的研究。
  4.3 及时的医疗处理和所需的特殊处理的说明和指示
    无数据资料

模块 5. 消防措施
  5.1 灭火介质
    灭火方法及灭火剂
    用水雾,抗乙醇泡沫,干粉或二氧化碳灭火。
  5.2 源于此物质或混合物的特别的危害
    碳氧化物, 氮氧化物, 硫氧化物, 氯化氢气体
  5.3 给消防员的建议
    如必要的话,戴自给式呼吸器去救火。
  5.4 进一步信息
    无数据资料

模块 6. 泄露应急处理
  6.1 作业人员防护措施、防护装备和应急处置程序
    使用个人防护用品。 避免粉尘生成。 避免吸入蒸气、烟雾或气体。 保证充分的通风。 避免吸入粉尘。
  6.2 环境保护措施
    不要让产品进入下水道。
  6.3 泄漏化学品的收容、清除方法及所使用的处置材料
    收集和处置时不要产生粉尘。 扫掉和铲掉。 放入合适的封闭的容器中待处理。
  6.4 参考其他部分
    丢弃处理请参阅第13节。

模块 7. 操作处置与储存
  7.1 安全操作的注意事项
    避免接触皮肤和眼睛。 避免形成粉尘和气溶胶。
    在有粉尘生成的地方,提供合适的排风设备。
  7.2 安全储存的条件,包括任何不兼容性
    贮存在阴凉处。 使容器保持密闭,储存在干燥通风处。
  7.3 特定用途
    无数据资料

模块 8. 接触控制和个体防护
  8.1 容许浓度
    最高容许浓度
    没有已知的国家规定的暴露极限。
  8.2 暴露控制
    适当的技术控制
    根据良好的工业卫生和安全规范进行操作。 休息前和工作结束时洗手。
    个体防护设备
    眼/面保护
    带有防护边罩的安全眼镜符合 EN166要求请使用经官方标准如NIOSH (美国) 或 EN 166(欧盟)
    检测与批准的设备防护眼部。
    皮肤保护
    戴手套取 手套在使用前必须受检查。
    请使用合适的方法脱除手套(不要接触手套外部表面),避免任何皮肤部位接触此产品.
    使用后请将被污染过的手套根据相关法律法规和有效的实验室规章程序谨慎处理. 请清洗并吹干双手
    所选择的保护手套必须符合EU的89/686/EEC规定和从它衍生出来的EN 376标准。
    身体保护
    全套防化学试剂工作服, 防护设备的类型必须根据特定工作场所中的危险物的浓度和数量来选择。
    呼吸系统防护
    如须暴露于有害环境中,请使用P95型(美国)或P1型(欧盟 英国
    143)防微粒呼吸器。如需更高级别防护,请使用OV/AG/P99型(美国)或ABEK-P2型 (欧盟 英国 143)
    防毒罐。
    呼吸器使用经过测试并通过政府标准如NIOSH(US)或CEN(EU)的呼吸器和零件。

模块 9. 理化特性
  9.1 基本的理化特性的信息
    a) 外观与性状
    形状: 结晶
    颜色: 无色
    b) 气味
    无数据资料
    c) 气味阈值
    无数据资料
    d) pH值
    无数据资料
    e) 熔点/凝固点
    181 °C
    f) 沸点、初沸点和沸程
    无数据资料
    g) 闪点
    无数据资料
    h) 蒸发速率
    无数据资料
    i) 易燃性(固体,气体)
    无数据资料
    j) 高的/低的燃烧性或爆炸性限度 无数据资料
    k) 蒸气压
    无数据资料
    l) 蒸汽密度
    无数据资料
    m) 密度/相对密度
    无数据资料
    n) 水溶性
    0.009 g/l 在 25 °C
    o) n-辛醇/水分配系数
    辛醇--水的分配系数的对数值: 0.11
    p) 自燃温度
    无数据资料
    q) 分解温度
    无数据资料
    r) 粘度
    无数据资料

模块 10. 稳定性和反应活性
  10.1 反应性
    无数据资料
  10.2 稳定性
    无数据资料
  10.3 危险反应
    无数据资料
  10.4 应避免的条件
    无数据资料
  10.5 不相容的物质
    强氧化剂
  10.6 危险的分解产物
    其它分解产物 - 无数据资料

模块 11. 毒理学资料
  11.1 毒理学影响的信息
    急性毒性
    半数致死剂量 (LD50) 经口 - 大鼠 - 4,102 mg/kg
    半数致死浓度(LC50) 吸入 - 大鼠 - 4 h - > 5 mg/l
    半数致死剂量 (LD50) 经皮 - 兔子 - > 2,000 mg/kg
    皮肤刺激或腐蚀
    皮肤 - 兔子 - 无皮肤刺激
    眼睛刺激或腐蚀
    眼睛 - 兔子 - 无眼睛刺激
    呼吸道或皮肤过敏
    豚鼠 - 未引起试验动物过敏。
    生殖细胞致突变性
    无数据资料
    致癌性
    IARC:
    此产品中没有大于或等于 0。1%含量的组分被 IARC鉴别为可能的或肯定的人类致癌物。
    生殖毒性
    无数据资料
    特异性靶器官系统毒性(一次接触)
    无数据资料
    特异性靶器官系统毒性(反复接触)
    无数据资料
    吸入危险
    无数据资料
    潜在的健康影响
    吸入        吸入有害。 可能引起呼吸道刺激。    
    摄入        如服入是有害的。    
    皮肤        通过皮肤吸收可能有害。 可能引起皮肤刺激。    
    眼睛        可能引起眼睛刺激。    
    接触后的征兆和症状
    据我们所知,此化学,物理和毒性性质尚未经完整的研究。
    附加说明
    化学物质毒性作用登记: 无数据资料

模块 12. 生态学资料
  12.1 生态毒性
    对鱼类的毒性        半数致死浓度(LC50) - 虹鳟 (红鳟鱼) - > 1,000 mg/l - 96 h    
    对水蚤和其他水生无脊        半数致死浓度(LC50) - 大型蚤 (水蚤) - 1,000 mg/l - 48 h    
    椎动物的毒性
  12.2 持久性和降解性
    无数据资料
  12.3 潜在的生物累积性
    无数据资料
  12.4 土壤中的迁移性
    无数据资料
  12.5 PBT 和 vPvB的结果评价
    无数据资料
  12.6 其它不良影响
    无数据资料

模块 13. 废弃处置
  13.1 废物处理方法
    产品
    将剩余的和不可回收的溶液交给有许可证的公司处理。
    与易燃溶剂相溶或者相混合,在备有燃烧后处理和洗刷作用的化学焚化炉中燃烧
    受污染的容器和包装
    按未用产品处置。

模块 14. 运输信息
  14.1 联合国危险货物编号
    欧洲陆运危规: -        国际海运危规: -        国际空运危规: -    
  14.2 联合国运输名称
    欧洲陆运危规: 非危险货物
    国际海运危规: 非危险货物
    国际空运危规: 非危险货物
  14.3 运输危险类别
    欧洲陆运危规: -        国际海运危规: -        国际空运危规: -    
  14.4 包裹组
    欧洲陆运危规: -        国际海运危规: -        国际空运危规: -    
  14.5 环境危险
    欧洲陆运危规: 否        国际海运危规        国际空运危规: 否    
    海洋污染物(是/否): 否
  14.6 对使用者的特别提醒
    无数据资料


模块 15 - 法规信息
N/A


模块16 - 其他信息
N/A

海关数据查看详细

中国海关编码:2935009012

概述:
2935009012 醚苯磺隆,噻吩磺隆,醚磺隆,氟啶嘧磺隆等〔包括氟胺磺隆,氟磺隆,甲嘧磺隆,氯嘧磺隆,氟嘧磺隆〕。监管条件:S(进出口农药登记证明)。增值税率:17.0%。退税率:9.0%。最低关税:6.5%。普通关税:35.0%
申报要素:
品名, 成分含量, 用途
监管条件:
S.进出口农药登记证明
摘要/Summary:
2935009012 ethyl 2-(n-((4-chloro-6-methoxypyrimidin-2-yl)carbamoyl)sulfamoyl)benzoate。supervision conditions:s(import or export registration certificate for pesticides)。VAT:17.0%。tax rebate rate:9.0%。MFN tarrif:6.5%。general tariff:35.0%

分子结构与计算化学数据展开↓

分子结构数据


1、   摩尔折射率:94.86

2、   摩尔体积(cm3/mol):277.7

3、   等张比容(90.2K):789.6

4、   表面张力(dyne/cm):65.2

5、   极化率(10-24cm3):37.60

计算化学数据


1.疏水参数计算参考值(XlogP):2.7

2.氢键供体数量:2

3.氢键受体数量:8

4.可旋转化学键数量:7

5.互变异构体数量:7

6.拓扑分子极性表面积145

7.重原子数量:27

8.表面电荷:0

9.复杂度:628

10.同位素原子数量:0

11.确定原子立构中心数量:0

12.不确定原子立构中心数量:0

13.确定化学键立构中心数量:0

14.不确定化学键立构中心数量:0

15.共价键单元数量:1

立即下载安装“化学加”APP
专业、功能强大,随时调用更加方便