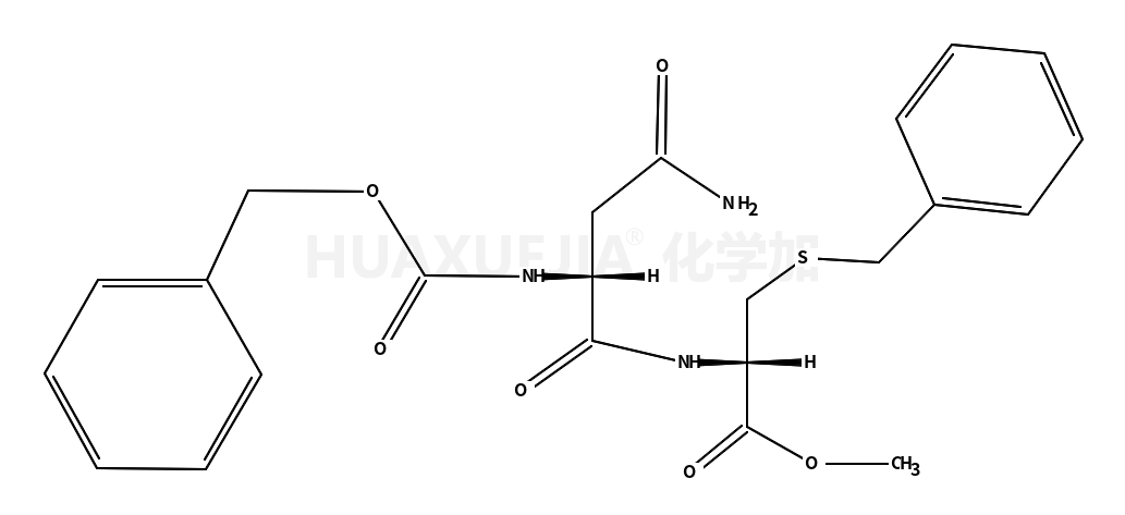
methyl 2-[[4-amino-4-oxo-2-(phenylmethoxycarbonylamino)butanoyl]amino]-3-benzylsulfanylpropanoate

methyl 2-[[4-amino-4-oxo-2-(phenylmethoxycarbonylamino)butanoyl]amino]-3-benzylsulfanylpropanoate 基本信息
CAS号 20987-51-3 分子式 C23H27N3O6S
分子量 473.54200 精确质量  473.16200
PSA  N/A LogP  N/A

合成路线 1

  • 2304-96-3

    N-苄氧羰基-L-天冬酰胺

  • +

  • 16741-80-3

    S-苄基-L-半胱氨酸甲酯盐酸盐

  • 20987-51-3

    methyl 2-[[4-amino-4-oxo-2-(phenylmethoxycarbonylamino)butanoyl]amino]-3-benzylsulfanylpropanoate

  • 3256-57-3

    CBZ-L-天门冬酰胺4-硝基苯酯

  • +

  • 16741-80-3

    S-苄基-L-半胱氨酸甲酯盐酸盐

  • 20987-51-3

    methyl 2-[[4-amino-4-oxo-2-(phenylmethoxycarbonylamino)butanoyl]amino]-3-benzylsulfanylpropanoate

  • 2304-96-3

    N-苄氧羰基-L-天冬酰胺

  • 20987-51-3

    methyl 2-[[4-amino-4-oxo-2-(phenylmethoxycarbonylamino)butanoyl]amino]-3-benzylsulfanylpropanoate

  • 22728-88-7

    S-benzyl-(L)-cysteine methyl ester

  • +

  • 2304-96-3

    N-苄氧羰基-L-天冬酰胺

  • 20987-51-3

    methyl 2-[[4-amino-4-oxo-2-(phenylmethoxycarbonylamino)butanoyl]amino]-3-benzylsulfanylpropanoate

  • 22728-88-7

    S-benzyl-(L)-cysteine methyl ester

  • +

  • 2304-96-3

    N-苄氧羰基-L-天冬酰胺

  • 20987-51-3

    methyl 2-[[4-amino-4-oxo-2-(phenylmethoxycarbonylamino)butanoyl]amino]-3-benzylsulfanylpropanoate

  • +

  • 101033-77-6

    101033-77-6