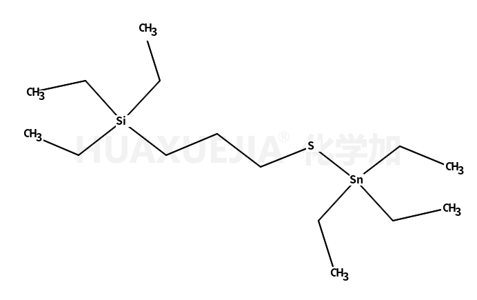
triethyl(3-triethylstannylsulfanylpropyl)silane

triethyl(3-triethylstannylsulfanylpropyl)silane 基本信息
CAS号 60989-34-6 分子式 C15H36SSiSn
分子量 395.29800 精确质量  396.13300
PSA  N/A LogP  N/A

合成路线 1

  • 617-86-7

    三乙基硅烷

  • +

  • 166047-02-5

    166047-02-5

  • 993-63-5

    triethyltin

  • +

  • 60989-34-6

    triethyl(3-triethylstannylsulfanylpropyl)silane