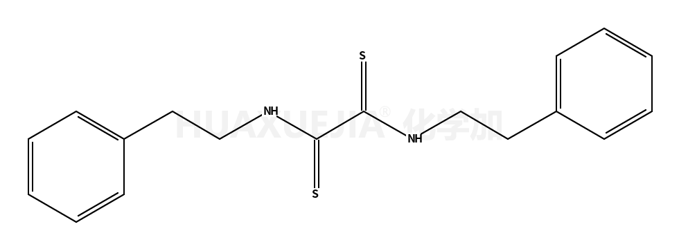
N,N'-bis(2-phenylethyl)ethanedithioamide

N,N'-bis(2-phenylethyl)ethanedithioamide 基本信息
CAS号 27998-17-0 分子式 C18H20N2S2
分子量 328.49500 精确质量  328.10700
PSA  N/A LogP  N/A

合成路线 1

  • 107-14-2

    氯乙腈

  • +

  • 64-04-0

    2-苯乙胺

  • ~70%

  • 27998-17-0

    N,N'-bis(2-phenylethyl)ethanedithioamide

  • 17008-22-9

    methyl cyanomethanedithioate

  • +

  • 64-04-0

    2-苯乙胺

  • ~23%

  • 27998-17-0

    N,N'-bis(2-phenylethyl)ethanedithioamide

  • 64-04-0

    2-苯乙胺

  • +

  • 79-40-3

    二硫代乙酰胺

  • 27998-17-0

    N,N'-bis(2-phenylethyl)ethanedithioamide