N,N'-二甲基-N,N'-二(二甲基氨基乙基)乙二胺

N,N'-二甲基-N,N'-二(二甲基氨基乙基)乙二胺 基本信息
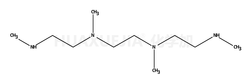
CAS号 105-78-2 分子式 C10H26N4
分子量 202.34000 精确质量  202.21600
PSA  N/A LogP  N/A

合成路线 1

  • 141766-05-4

    141766-05-4

  • ~96%

  • 105-78-2

    N,N'-二甲基-N,N'-二(二甲基氨基乙基)乙二胺

  • 106-93-4

    二溴乙烷

  • +

  • 74-89-5

    甲胺

  • ~1%

  • 106-58-1

    1,4-二甲基哌嗪

  • +

  • 105-84-0

    N,N’,N”-三甲基二乙烯三胺

  • +

  • 105-78-2

    N,N'-二甲基-N,N'-二(二甲基氨基乙基)乙二胺

  • +

  • 110-70-3

    N,N'-二甲基乙二胺