| 间苯二酚 基本信息 | |||
|---|---|---|---|
| CAS号 | 108-46-3 | 分子式 | C6H6O2 |
| 分子量 | 110.11100 | 精确质量 | 110.03700 |
| PSA | 40.46000 | LogP | 1.09780 |
基本信息
展开↓
生产制备方法及用途展开↓
1.间苯二酚的制备方法较多,如苯磺化碱熔法、间苯二酚与苯酚联产法、间苯二胺法、间二异丙苯法、间氨基苯酚水解法等。苯磺化碱熔法以苯为原料,经磺化得间苯二磺酸,再经中和碱熔、酸化而得。
将苯、65%发烟硫酸和硫酸钠分别加入反应器中,控制反应温度在75℃,得磺化物。然后向此磺化物中加入无水硫酸钠,搅拌加热至175℃使其溶解,在此温度下加入三氧化硫,再反应1.5h,得二磺化物(苯二磺酸含量75%)。将二磺化物用稀碱液中和,并除去过量的硫酸盐后,所得苯二磺酸钠盐在290℃下逐渐加到熔化的氢氧化钠中,在15min内升温至325℃,而后将碱熔物溶于水,用硫酸酸化,再用乙醚萃取,蒸出溶剂,即得间苯二酚成品。
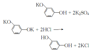
2.间苯二磺酸钾经碱熔、酸化后即可得到此产品。



操作步骤为:将苯、60%发烟硫酸和硫酸钠加入反应锅中,控制反应温度75℃,所得磺化物含苯磺酸75%、二苯砜1%、硫酸20%、硫酸钠4%。然后加入无水硫酸钠,搅拌加热至175℃,加入三氧化硫再反应1.5h,所得产物组成为苯二磺酸75%、二苯砜二磺4%、硫酸17%、硫酸钠4%。经稀碱中和并除去过量的硫酸盐后,得到苯二磺酸钠盐,于290℃加入熔融的氢氧化钠中,15min内升温至325℃。将碱溶物溶于水,用硫酸酸化,再用乙醚或丁醇萃取,萃取液蒸馏回收溶剂后即得粗品,将粗品减压蒸馏,收集178℃馏分即为间苯二酚。
3.间二异丙苯氧化法(HOP法):间二异丙苯氧化法是一种类似于异丙苯氧化制苯酚和丙酮的方法。苯与丙烯在催化剂作用下进行烷基化反应生成间二异丙苯,间二异丙苯在80~90℃、弱碱性条件下通入氧气和空气进行氧化反应生成二氢过氧化间二异丙苯和副产物间二异丙苯羟基过氧化物,经结晶、过滤分离出二氢过氧化间二异丙苯,再在80℃条件下用硫酸或磷酸解离得间苯二酚和丙酮。随着环保要求的日益严格,该法将成为工业上合成间苯二酚的发展方向。
1.间苯二酚主要用于橡胶粘合剂、合成树脂、染料、防腐剂、医药和分析试剂等主面,间苯二酚与苯酚、甲酚相似,与甲醛生成缩聚物,可用于制粘胶丝及尼龙用的轮胎帘子线粘结剂,制备木材胶合剂,用于乙烯基材料与金属的粘合,间苯二酚是许多偶氮染料、毛皮染料的中间体,也是医药中间体对氮基水杨酸的原料。间苯二酚具有杀菌作用,可用作防腐剂,添中于化妆品和皮肤病药物糊剂及软膏等。间苯二酚的衍生物β-甲基伞形酮是光学漂白剂的中间体、三硝基间苯二酚是雷管引爆剂,还有相当数量的间苯二酚用于生产二苯甲酮类紫外线吸收剂。本品能刺激皮肤及粘膜,可经皮肤迅整吸收引起中毒症症。大鼠皮下注射的最低致死量为450mg/kg。
2.用于亚硝酸盐和硝酸盐的测定。在氨的存在下可用比色法检测锌、铅、呋喃甲醛及糖和酮。还用于有机合成、医药工业。
3.用作环氧树脂固化的促进剂及合成树脂、胶黏剂、染料、医药(对氨基水杨酸)的紫外线吸收剂。还用于合成间苯二酚甲醛树脂胶黏剂。间苯二酚是一种重要的有机化工产品和合成中间体,在轮胎、胶管及胶带中,使用间苯二酚甲醛树(RF树脂)浸渍人造丝及聚酰胺纤维帘子线,可增加帘子线与橡胶之间的粘接作用。用间苯二酚氰尿酸三芳基酯甲醛树脂处理钢丝帘子线,可改善钢丝对橡胶的粘接性能。在橡胶胶料中加入间苯二酚、六亚甲基四胺和二氧化硅,可改进短纤维在橡胶母体中的增强作用。以间苯二酚为原料合成的双(二苯基膦酸)间苯二酚酯是一种非卤阻燃剂,具有较高的热稳定性,适用于改性聚醚、聚碳酸酯、ABS树脂以及各种热塑性树脂和聚氨酯等塑料。间苯二酚还具有一定的杀菌作用。
4.用作多种有机药品和染料的制造,是毛皮染料的中间体。医药上外用治湿疹、牛皮癣等皮肤病。在化妆品工业中,用于染发剂配方(作为配合染料)。间苯二酚有杀菌作用,可用作防腐剂,添加于化妆品和皮肤病药物糊剂及软膏中。
5.用于医药、染料、橡胶、塑料、感光材料、化纤、炸药工业、如合成氨基水杨酸、染料曙红、二苯甲酮紫外线吸收剂等,亦用于配制轮胎的帘线浸胶、泡沫脲甲醛树脂的起泡剂溶液,以及作防粉刺化妆品的药物添加剂、生发剂中的杀菌剂等。
6.用于制染料、塑料、药物、合成纤维等。[28]
物化性质展开↓
1.具有中等毒性,能刺激皮肤、黏膜,同时可经皮肤迅速吸收,生成高铁血红蛋白而引起发绀、昏睡和致命的肾脏损伤。有皮肤过敏或变态反应症的人吸入其蒸气或粉尘时,常常可引起危险的中毒。大鼠皮下注射LD50:450mg/kg。生产设备应严格密闭,操作人员穿戴防护用具,生产现场保持良好的通风。
2.稳定性[23] 稳定
3.禁配物[24] 酰基氯、酸酐、碱、强氧化剂、强酸
4.避免接触的条件[25] 受热、光照
5.聚合危害[26] 不聚合
1.性状:白色针状结晶,有不愉快的气味,置于空气中逐渐变红。[1]
2.pH值:5.2[2]
3.熔点(℃):110.7[3]
4.沸点(℃):276.5[4]
5.相对密度(水=1):1.27[5]
6.相对蒸气密度(空气=1):3.79[6]
7.饱和蒸气压(kPa):0.13(108.4℃)[7]
8.燃烧热(kJ/mol):-2847.8[8]
9.临界压力(MPa):7.49[9]
10.辛醇/水分配系数:0.8[10]
11.闪点(℃):127(CC)[11]
12.引燃温度(℃):608[12]
13.爆炸上限(%):9.8[13]
14.爆炸下限(%):1.4[14]
15.溶解性:易溶于水、乙醇、乙醚,微溶于氯仿。[15]
16.相对密度(20℃,4℃):1.165131
17.相对密度(25℃,4℃):1.110184
18.晶相相标准燃烧热(焓)(kJ·mol-1):-2850.6
19.晶相标准声称热(焓)( kJ·mol-1):-368.0
20.气相标准熵(J·mol-1·K-1) :344.51
21.气相标准生成自由能( kJ·mol-1):-189.1
22.气相标准热熔(J·mol-1·K-1):123.75
23.气相标准燃烧热(焓)(kJ·mol-1):-2943.9
24.气相标准声称热(焓)( kJ·mol-1) :-274.7
安全信息展开↓
合成路线查看所有的合成路线
毒理性展开↓
1.急性毒性[16] LD50:301mg/kg(大鼠经口);3360mg/kg(兔经皮)
2.刺激性[17]
家兔经皮:20mg(24h),中度刺激。
家兔经眼:100mg,重度刺激。
3.亚急性与慢性毒性[18]
兔、豚鼠接触34mg/m3,每天6h,2周,肝、肾、心肌、脾、肺均发生病理改变。
4.致突变性[19] 微生物致突变:鼠伤寒沙门菌20μmol/皿。细胞遗传学分析:人淋巴细胞80mg/L。
5.致癌性[5] IARC致癌性评论:G3,对人及动物致癌性证据不足。
1.生态毒性[20]
LC50:88.6mg/L(24h),72.6mg/L(48h),53.4mg/L(96h)(黑头呆鱼);170mg/L(24h),78mg/L(48h),42mg/L(96h)(草虾)
EC50:0.8mg/L(48h)(水蚤)
2.生物降解性[21] MITI-I测试,初始浓度100ppm,污泥浓度30ppm,2周后降解66.7%。
3.非生物降解性[22] 空气中,当羟基自由基浓度为5.00×105个/cm3时,降解半衰期为2h(理论)。
MSDS 展开↓| 国标编号: | 61725 |
| CAS: | 108-46-3 |
| 中文名称: | 1,3-苯二酚 |
| 英文名称: | m-Dihydroxybenzene;Resorcinol |
| 别 名: | 间苯二酚;雷琐辛 |
| 分子式: | C6H6O2;C6H4(OH)2 |
| 分子量: | 110.11 |
| 熔 点: | 110.7℃ |
| 密 度: | 相对密度(水=1)1.28; |
| 蒸汽压: | 127℃ |
| 溶解性: | 易溶于水乙醇、乙醚,溶于氯仿四氯化碳,不溶于苯 |
| 稳定性: | 稳定 |
| 外观与性状: | 白色针状结晶,有不愉快的气味,置于空气中逐渐变红 |
| 危险标记: | 15(毒害品) |
| 用 途: | 用于染料工业、塑料工业、医药、橡胶等 |
一、健康危害
侵入途径:吸入、食入、经皮吸收。 健康危害:急性中毒与酚类似,引起头痛、头昏、烦躁、嗜睡、紫绀(由于高铁血红蛋白症)、抽搐、心动过速、呼吸困难等症状。体温及血压下降明显,有时有黄疸和血红蛋白尿。皮肤接触可发生接触性皮炎。长期低浓度接触,可引起呼吸道刺激症状,职业性皮肤损害。
二、毒理学资料及环境行为
毒性:属高毒类。 急性毒性:LD50301mg/kg(大鼠经口);3360mg/kg(兔经皮);人经口29mg/kg,最小致死剂量。 亚急性和慢性毒性:兔种豚鼠接触34mg/m3,6小时/天,2周,肝、肾、心肌、脾、肺均发生病理改变。 致突变性:微粒体诱变试验:鼠伤寒沙门氏菌20umol/皿。细胞遗传学分析:人淋巴细胞80mg/L。 致癌性:IARC致癌性评论:动物不明确,人类无可靠数据。
危险特性:遇明火、高热可燃。与强氧化剂可发生反应。受高热分解放出有毒的气体。 燃烧(分解)产物:一氧化碳、二氧化碳。
对磺酸基重氮苯比色法《化工企业空气中有害物质的测定方法》色谱/质谱法《水和有害废物的监测分析方法》周文敏等编译
| 美国 | 车间卫生标准 | 45mg/m3 |
| 前苏联(1978) | 地面水中最高容许浓度 | 0.1mg/L |
| 前苏联 | 渔业水体中有害物质的最大容许浓度 | 0.004mg/L |
| 水中嗅觉阈浓度 | 6.0mg/L |
一、泄漏应急处理
隔离泄漏污染区,周围设警标志,建议应急处理人员戴好防毒面具,穿化学防护服。不要直接接触泄漏物,用沙土、干燥石灰或苏打灰混合,避免扬尘,用清洁的铲子收集于干燥净洁的有盖的容器中,运至废物处理场所。也可以用大量水冲洗,经稀释的洗水放入废水系统。如大量泄漏,收集回收或无害处理后废弃。
废弃物处置方法:按美国环保局规定,间苯二酚属危险废弃物,建议把废料溶于易燃溶剂中,再进行焚烧。
二、防护措施
呼吸系统防护:空气中浓度超标时,必须佩带防毒面具。紧急事态抢救或逃生时,佩带自给式呼吸器。 眼睛防护:戴安全防护眼镜。 防护服:穿相应的防护服。 手防护:戴防化学品手套。 其它:工作现场禁止吸烟、进食和饮水。工作后,彻底清洗。单独存入被毒物污染的衣服,洗后再用。注意个人清洁卫生。
三、急救措施
皮肤接触:立即脱去污染的衣着,用甘油、聚乙烯乙二醇或聚乙烯乙二醇和酒精混合液(7:3)抹擦。然后用水彻底冲洗。或立即用水冲洗至少15分钟。就医。 眼睛接触:立即提起眼睑,用流动清水或生理盐水冲洗至少15分钟。就医。 吸入:迅速脱离场至空气新鲜处。保持呼吸道通畅。呼吸困难时给输氧。呼吸停止时,立即进行人工呼吸。就医。 食入:患者清醒时立即给饮植物油15~30ml。催吐,尽快彻底洗胃。就医。
灭火方法:雾状水、泡沫、二氧化碳、干粉、砂土。
海关数据查看详细
分子结构与计算化学数据展开↓
1、摩尔折射率:30.01
2、摩尔体积(cm3/mol):86.2
3、等张比容(90.2K):237.3
4、表面张力(dyne/cm):57.1
5、介电常数:无可用的
6、极化率(10-24cm3):11.89
7、单一同位素质量:110.036779 Da
8、标称质量:110 Da
9、平均质量:110.1106 Da
1.疏水参数计算参考值(XlogP):无
2.氢键供体数量:2
3.氢键受体数量:2
4.可旋转化学键数量:0
5.互变异构体数量:5
6.拓扑分子极性表面积40.5
7.重原子数量:8
8.表面电荷:0
9.复杂度:64.9
10.同位素原子数量:0
11.确定原子立构中心数量:0
12.不确定原子立构中心数量:0
13.确定化学键立构中心数量:0
14.不确定化学键立构中心数量:0
15.共价键单元数量:1
上下游相关产品108-73-6
间苯三酚
2174-64-3
夫拉美诺
87199-18-6
3-羟基苯硼酸
626-02-8
3-碘苯酚
99-62-7
1,3-二异丙基苯
10499-17-9
3-(4-methoxyphenyl)-3,4-dihydro-2H-chromen-7-ol
104761-74-2
1,2,3-trimethoxy-5-[3-(3-prop-2-enoxyphenoxy)prop-1-enyl]benzene
109565-17-5
3-hexyl-7-hydroxy-4-methylchromen-2-one
105290-13-9
4-methyl-[1]benzofuro[3,2-g]chromen-2-one
10462-54-1
5-hydroxy-6-(phenylhydrazinylidene)cyclohexa-2,4-dien-1-one