5-氨基-2-萘磺酸

5-氨基-2-萘磺酸 基本信息
CAS号 119-79-9 分子式 C10H9NO3S
分子量 223.24800 精确质量  223.03000
PSA  88.77000 LogP  3.33070

基本信息 展开↓

CAS号:
119-79-9
3D弹球模型:
立即前往扯扯看
分子式:
C10H9NO3S
分子量:
223.24800
中文名称:
5-氨基-2-萘磺酸
英文名称:
5-aminonaphthalene-2-sulfonic acid
中文别名:
5-氨基-2-萘磺酸;
5-氨基萘-2-磺酸;
1-萘胺-6-磺酸;
1,6-克利夫酸;
1.6-克力夫酸
英文别名:
5-aminonaphthalene-2-sulfonic acid;
1-Naphthylamine-6-sulfonic Acid;
5-Amino-2-naphthalenesulfonic acid;
1,6-Cleve's Acid;
5-Amino-2-naphthalenesulfonic Acid;
1-Aminonaphthalene-6-sulfonic acid
精确分子量/精确质量:
223.03000
极性分子表面积/PSA:
88.77000
油水分配系数/LogP:

LogP值指的是某物质在正辛醇/水两相体系中的分配系数的对数值,反映了物质在油水两相中的分配情况。其中、LogP值越大,说明该物质越亲油;反之,LogP值越小,则说明该物质越亲水。
贝尔斯坦号/MDL:
MFCD00004030
EINECS:
204-351-2
PubChem:
24856865
InChI:
The Key: UWPJYQYRSWYIGZ-UHFFFAOYSA-N

生产制备方法及用途展开↓

制备方法


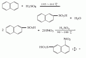
精萘经磺化得2-萘磺酸,经硝化而成1-硝基-6(7)-萘磺酸,再经还原得成品。可利用1,6-及1,7-氨基萘磺酸镁盐在一定温度下溶解度的差异加以分离。

合成制备方法


精萘经磺化得2-萘磺酸,经硝化而成1-硝基-6(7)-萘磺酸,再经还原得成品。可利用1,6-及1,7-氨基萘磺酸镁盐在一定温度下溶解度的差异加以分离。


 

用途简介


染料中间体。

用途


本品主要用于制造直接耐晒蓝B2R、RGL、BGL、直接耐晒灰LBN、直接耐晒棕RTL和直接黑FF等染料。还用来制造偶氮染料硫化蓝CV,以及加工成中性染料中间体等。

物化性质展开↓

外观与性状:
灰色-红色粉末
密度:
1.502 g/cm3
熔点:
>300°C
折射率:
1.713
存储条件/存储方法:
库房通风低温干燥
稳定性相关:

避免与强氧化剂接触。

有毒,大鼠经口LD50:14mg/kg。生产设备应密闭,操作人员应穿戴防护用具。
 

其它信息:

1.      性状:灰色或紫色粉末

2.      密度(g/mL,25℃):未确定

3.      相对蒸汽密度(g/mL,空气=1):未确定

4.      熔点(ºC):>330

5.      沸点(ºC,常压):未确定

6.      沸点(ºC, KPa):未确定

7.      折射率:未确定

8.      闪点(ºC):未确定

9.      比旋光度(º):未确定

10.   自燃点或引燃温度(ºC):未确定

11.   蒸气压(mmHg,ºC):未确定

12.   饱和蒸气压(kPa, ºC):未确定

13.   燃烧热(KJ/mol):未确定

14.   临界温度(ºC):未确定

15.   临界压力(KPa):未确定

16.   油水(辛醇/水)分配系数的对数值:未确定

17.   爆炸上限(%,V/V):未确定

18.   爆炸下限(%,V/V):未确定

19.   溶解性:几乎不溶于乙醇和乙醚。

安全信息展开↓

包装等级:
III
风险类别:
8
WGK_Germany:
1
德国有关水污染物质的分类清单
危险类别码:
R36/37/38
安全说明:
S26-S36/37/39
RTECS号:
QK1285000

合成路线查看所有的合成路线

  • 84-86-6

    4-氨基萘-1-磺酸

  • +

  • 7664-93-9

    硫酸

  • 119-79-9

    5-氨基-2-萘磺酸

  • +

  • 84-89-9

    1-萘胺-5-磺酸

  • 7664-93-9

    硫酸

  • +

  • 134-32-7

    1-萘胺

  • 119-79-9

    5-氨基-2-萘磺酸

  • +

  • 84-89-9

    1-萘胺-5-磺酸

  • 7664-93-9

    硫酸

  • +

  • 134-32-7

    1-萘胺

  • 119-79-9

    5-氨基-2-萘磺酸

  • +

  • 84-89-9

    1-萘胺-5-磺酸

化学图谱

  1. 1-萘胺-6-磺酸红外图谱(IR1)

  2. 1-萘胺-6-磺酸红外图谱(IR2)

  3. 1-萘胺-6-磺酸质谱(MS)

  4. 1-萘胺-6-磺酸核磁图(13CNMR)

  5. 1-萘胺-6-磺酸核磁图(1HNMR)

上一页 1/4 下一页

毒理性展开↓

CHEMICAL IDENTIFICATION

RTECS NUMBER :
QK1285000
CHEMICAL NAME :
2-Naphthalenesulfonic acid, 5-amino-
CAS REGISTRY NUMBER :
119-79-9
BEILSTEIN REFERENCE NO. :
1819887
LAST UPDATED :
199701
DATA ITEMS CITED :
4
MOLECULAR FORMULA :
C10-H9-N-O3-S
MOLECULAR WEIGHT :
223.26
WISWESSER LINE NOTATION :
L66J BZ HSWQ

HEALTH HAZARD DATA

ACUTE TOXICITY DATA

TYPE OF TEST :
Standard Draize test
ROUTE OF EXPOSURE :
Administration into the eye
SPECIES OBSERVED :
Rodent - rabbit
REFERENCE :
85JCAE "Prehled Prumyslove Toxikologie; Organicke Latky," Marhold, J., Prague, Czechoslovakia, Avicenum, 1986 Volume(issue)/page/year: -,1056,1986 ** ACUTE TOXICITY DATA **
TYPE OF TEST :
LD50 - Lethal dose, 50 percent kill
ROUTE OF EXPOSURE :
Oral
SPECIES OBSERVED :
Rodent - rat
DOSE/DURATION :
14200 mg/kg
TOXIC EFFECTS :
Details of toxic effects not reported other than lethal dose value
REFERENCE :
85JCAE "Prehled Prumyslove Toxikologie; Organicke Latky," Marhold, J., Prague, Czechoslovakia, Avicenum, 1986 Volume(issue)/page/year: -,1056,1986 *** NIOSH STANDARDS DEVELOPMENT AND SURVEILLANCE DATA *** NIOSH OCCUPATIONAL EXPOSURE SURVEY DATA : NOES - National Occupational Exposure Survey (1983) NOES Hazard Code - X7069 No. of Facilities: 25 (estimated) No. of Industries: 1 No. of Occupations: 2 No. of Employees: 737 (estimated)
毒理学数据:

1、急性毒性:大鼠经口LD50:14200mg/kg

生态数据:

避免与强氧化剂接触。

MSDS 展开↓

  1.1 产品标识符
    : 5-Amino-2-naphthalenesulfonic acid
    化学品俗名或商品名
  1.2 鉴别的其他方法
    无数据资料
  1.3 有关的确定了的物质或混合物的用途和建议不适合的用途
    仅供科研用途,不作为药物、家庭备用药或其它用途。

模块 2. 危险性概述
  2.1 GHS分类
    眼刺激 (类别2B)
  2.2 GHS 标记要素,包括预防性的陈述
    危害类型象形图        无    
    信号词        警告    
    危险申明
    H320        造成眼刺激。    
    警告申明
    预防
    P264        操作后彻底清洁皮肤。    
    措施
    P305 + P351 + P338        如进入眼睛:用水小心清洗几分钟。如戴隐形眼镜并可方便地取出,取出    
    隐形眼镜。继续冲洗。
    P337 + P313        如仍觉眼睛刺激:求医/ 就诊。    
  2.3 其它危害物 - 无

模块 3. 成分/组成信息
  3.1 物 质
    : C10H9NO3S
    分子式
    : 223.25 g/mol
    分子量
    成分        浓度    
    5-Aminonaphthalene-2-sulphonic acid
    -
    化学文摘编号(CAS No.)        119-79-9    
    EC-编号        204-351-2    

模块 4. 急救措施
  4.1 必要的急救措施描述
    如果吸入
    如果吸入,请将患者移到新鲜空气处。 如果停止了呼吸,给于人工呼吸。
    在皮肤接触的情况下
    用肥皂和大量的水冲洗。
    在眼睛接触的情况下
    用水冲洗眼睛作为预防措施。
    如果误服
    切勿给失去知觉者从嘴里喂食任何东西。 用水漱口。
  4.2 最重要的症状和影响,急性的和滞后的
  4.3 及时的医疗处理和所需的特殊处理的说明和指示
    无数据资料

模块 5. 消防措施
  5.1 灭火介质
    灭火方法及灭火剂
    用水雾,耐醇泡沫,干粉或二氧化碳灭火。
  5.2 源于此物质或混合物的特别的危害
    碳氧化物, 氮氧化物, 硫氧化物
  5.3 救火人员的预防
    如必要的话,戴自给式呼吸器去救火。
  5.4 进一步的信息
    无数据资料

模块 6. 泄露应急处理
  6.1 人员的预防,防护设备和紧急处理程序
    防止粉尘的生成。 防止吸入蒸汽、气雾或气体。
  6.2 环境预防措施
    不要让产物进入下水道。
  6.3 抑制和清除溢出物的方法和材料
    扫掉和铲掉。 存放在合适的封闭的处理容器内。
  6.4 参考其他部分
    丢弃处理请参阅第13节。

模块 7. 操作处置与储存
  7.1 安全操作的注意事项
    在有粉尘生成的地方,提供合适的排风设备。一般性的防火保护措施。
  7.2 安全储存的条件,包括任何不兼容性
    贮存在阴凉处。 容器保持紧闭,储存在干燥通风处。
  7.3 特定用途
    无数据资料

模块 8. 接触控制/个体防护
  8.1 控制参数
    最高容许浓度
    没有已知的国家规定的暴露极限。
  8.2 暴露控制
    适当的技术控制
    常规的工业卫生操作。
    人身保护设备
    眼/面保护
    请使用经官方标准如NIOSH (美国) 或 EN 166(欧盟) 检测与批准的设备防护眼部。
    皮肤保护
    戴手套取 手套在使用前必须受检查。
    请使用合适的方法脱除手套(不要接触手套外部表面),避免任何皮肤部位接触此产品.
    使用后请将被污染过的手套根据相关法律法规和有效的实验室规章程序谨慎处理. 请清洗并吹干双手
    所选择的保护手套必须符合EU的89/686/EEC规定和从它衍生出来的EN 376标准。
    身体保护
    根据危险物质的类型,浓度和量,以及特定的工作场所来选择人体保护措施。,
    防护设备的类型必须根据特定工作场所中的危险物的浓度和含量来选择。
    呼吸系统防护
    不需要保护呼吸。如需防护粉尘损害,请使用N95型(US)或P1型(EN 143)防尘面具。
    呼吸器使用经过测试并通过政府标准如NIOSH(US)或CEN(EU)的呼吸器和零件。

模块 9. 理化特性
  9.1 基本的理化特性的信息
    a) 外观与性状
    形状: 固体
    b) 气味
    无数据资料
    c) 气味临界值
    无数据资料
    d) pH值
    无数据资料
    e) 熔点/凝固点
    无数据资料
    f) 起始沸点和沸程
    无数据资料
    g) 闪点
    无数据资料
    h) 蒸发速率
    无数据资料
    i) 可燃性(固体,气体)
    无数据资料
    j) 高的/低的燃烧性或爆炸性限度 无数据资料
    k) 蒸气压
    无数据资料
    l) 相对蒸气密度
    无数据资料
    m) 相对密度
    无数据资料
    n) 水溶性
    无数据资料
    o) 辛醇/水分配系数的对数值
    无数据资料
    p) 自燃温度
    无数据资料
    q) 分解温度
    无数据资料
    r) 粘度
    无数据资料

模块 10. 稳定性和反应活性
  10.1 反应性
    无数据资料
  10.2 化学稳定性
    无数据资料
  10.3 危险反应的可能性
    无数据资料
  10.4 避免接触的条件
    无数据资料
  10.5 不兼容的材料
    强氧化剂
  10.6 危险的分解产物
    其它分解产物 - 无数据资料

模块 11. 毒理学资料
  11.1 毒理学影响的信息
    急性毒性
    半致死剂量(LD50) 经口 - 大鼠 - 14,200 mg/kg
    皮肤腐蚀/刺激
    严重眼损伤 / 眼刺激
    眼睛 - 兔子 - 轻度的眼睛刺激 - 24 h
    呼吸道或皮肤过敏
    无数据资料
    生殖细胞诱变
    致癌性
    IARC:
    此产品中没有大于或等于 0。1%含量的组分被 IARC鉴别为可能的或肯定的人类致癌物。
    生殖毒性
    特异性靶器官系统毒性(一次接触)
    特异性靶器官系统毒性(反复接触)
    吸入危险
    潜在的健康影响
    吸入        吸入可能有害。 可能引起呼吸道刺激。    
    摄入        如服入是有害的。    
    皮肤        如果通过皮肤吸收可能是有害的。 可能引起皮肤刺激。    
    眼睛        可能引起眼睛刺激。    
    附加说明
    化学物质毒性作用登记: 无数据资料

模块 12. 生态学资料
  12.1 毒性
    无数据资料
  12.2 持久存留性和降解性
    无数据资料
  12.3 生物积累的潜在可能性
  12.4 土壤中的迁移
  12.5 PBT 和 vPvB的结果评价
    无数据资料
  12.6 其它不利的影响
    无数据资料

模块 13. 废弃处置
  13.1 废物处理方法
    产品
    将剩余的和未回收的溶液交给处理公司。
    污染了的包装物
    作为未用过的产品弃置。

模块 14. 运输信息
  14.1 UN编号
    欧洲陆运危规: -        国际海运危规: -        国际空运危规: -    
  14.2 联合国(UN)规定的名称
    欧洲陆运危规: 无危险货物
    国际海运危规: 无危险货物
    国际空运危规: 无危险货物
  14.3 运输危险类别
    欧洲陆运危规: -        国际海运危规: -        国际空运危规: -    
  14.4 包裹组
    欧洲陆运危规: -        国际海运危规: -        国际空运危规: -    
  14.5 环境危险
    欧洲陆运危规: 否        国际海运危规 海运污染物: 否        国际空运危规: 否    
  14.6 对使用者的特别预防
    无数据资料


模块 15 - 法规信息
N/A


模块16 - 其他信息
N/A

分子结构与计算化学数据展开↓

分子结构数据


1、   摩尔折射率:58.27

2、   摩尔体积(cm3/mol):148.6

3、   等张比容(90.2K):433.1

4、   表面张力(dyne/cm):72.1

5、   极化率(10-24cm3):23.10

计算化学数据


1.疏水参数计算参考值(XlogP):无

2.氢键供体数量:2

3.氢键受体数量:4

4.可旋转化学键数量:1

5.互变异构体数量:无

6.拓扑分子极性表面积88.8

7.重原子数量:15

8.表面电荷:0

9.复杂度:322

10.同位素原子数量:0

11.确定原子立构中心数量:0

12.不确定原子立构中心数量:0

13.确定化学键立构中心数量:0

14.不确定化学键立构中心数量:0

15.共价键单元数量:1

上下游相关产品

上游产品

更多
  • 134-32-7

    1-萘胺

  • 120-18-3

    2-萘磺酸

  • 86-69-1

    1-nitro-6-naphthalenesulfonic acid

  • 7664-93-9

    硫酸

  • 84-86-6

    4-氨基萘-1-磺酸

下游产品

更多
  • 86-97-5

    5-氨基-2-萘酚

  • 575-44-0

    1,6-二羟基萘

  • 69774-80-7

    2-[(4-amino-7-sulfonaphthalen-1-yl)diazenyl]benzene-1,4-disulfonic acid

  • 85-74-5

    4-氨基萘-1,7-二磺酸

  • 791542-28-4

    5-氯萘-2-磺酸

立即下载安装“化学加”APP
专业、功能强大,随时调用更加方便