| 三氯苯 基本信息 | |||
|---|---|---|---|
| CAS号 | 120-82-1 | 分子式 | C6H3Cl3 |
| 分子量 | 181.44700 | 精确质量 | 179.93000 |
| PSA | 0.00000 | LogP | 3.64680 |
基本信息
展开↓
生产制备方法及用途展开↓
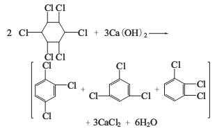
1.热解法干燥的六六六无毒体在热解釜中加热热即得三氯苯,同时副产大量氯化氢。

2.碱解法六六六无毒体与石灰乳共热即得三氯苯,同时副产大量氯化钙液。

上述二法所得三氯苯均为1,2,4-三氯苯;1,3,5-三氯苯;1,2,3-三氯苯三种异构体的混合物,以1,2,4-三氯苯为主要组分。石灰乳法生产的三氯苯中,1,2,4-三氯苯含量在75%以上,1,2,3-三氯苯约占20%。
1.医药;染料;农药的原料,也是用途很广的高沸点溶剂,变压器内电阻液的原料。用作高熔点物质重结晶用溶剂、电器设备冷却剂、润滑油添加剂、脱脂剂、油溶性染料溶剂、白蚁驱除剂等,也用作制造2,5-二氯苯酚的原料。工业品为各种异构体(1,2,3-,1,2,4-,1,2,5-三氯苯)的混合物。
2.用作溶剂及染料、绝缘液、杀虫剂的合成,也作热载体,及用于有机合成。[28]
物化性质展开↓
1.干燥纯净的1,2,4-三氯苯对金属无腐蚀性。在热和水作用下,放出微量腐蚀性强的氯化氢。水解生成2,5-二氯苯酚。硝化生成2,4,5-三氯硝基苯。
2.稳定性[22] 稳定
3.禁配物[23] 强氧化剂
4.避免接触的条件[24] 受热
5.聚合危害[25] 不聚合
6.分解产物[26] 氯化氢
1.性状:无色液体[1]
2.熔点(℃):17[2]
3.沸点(℃):213.5[3]
4.相对密度(水=1):1.45[4]
5.相对蒸气密度(空气=1):6.26[5]
6.饱和蒸气压(kPa):0.13(38.4℃)[6]
7.燃烧热(kJ/mol):-2798.7[7]
8.临界压力(MPa):3.72[8]
9.辛醇/水分配系数:4.02[9]
10.闪点(℃):105(CC)[10]
11.引燃温度(℃):571[11]
12.爆炸上限(%):6.6[12]
13.爆炸下限(%):2.5[13]
14.溶解性:不溶于水,微溶于醇,可混溶于乙醚、苯、石油醚、二硫化碳及多数有机溶剂。[14]
15.黏度(mPa·s,55.4ºC):1.5732
16.蒸发热(KJ/mol):15.5
17.熔化热(KJ/mol):62.4
18.常温折射率(n20):1.5717
19.常温折射率(n25):1.5693
20.溶度参数(J·cm-3)0.5:20.618
21.van der Waals面积(cm2·mol-1):1.233×1010
22.van der Waals体积(cm3·mol-1):100.980
23.液相标准热熔(J·mol-1·K-1):202.5
24.气相标准声称热(焓)( kJ·mol-1) :22.5
25.气相标准热熔(J·mol-1·K-1):129.13
安全信息展开↓
合成路线查看所有的合成路线
化学图谱
毒理性展开↓
1、急性毒性:
大鼠经口LD50:756mg/kg;大鼠经皮下LD50:6139mg/kg;小鼠经口LD50:300mg/kg;小鼠腹膜腔LD50:1223mg/kg;
2、其它多剂量毒性:大鼠经口TDLO:280mg/kg/14D-C;大鼠经口TDLO:7380mg/kg/13W-C;
3、生殖数据:大鼠经口TDLO:1800mg/kg/25W-I;大鼠(雌)腹膜腔TDLO:750mg/kg/3D;
4、致突变毒性:小鼠微核试验:210mg/kg/24H;5、毒性和二氯苯相同,对上呼吸道及黏膜刺激。嗅觉阈浓度0.01mg/L(水质)。
5.急性毒性[15]
LD50:756mg/kg(大鼠经口);6139mg/kg(大鼠经皮);6100mg/kg(兔经皮)
6.刺激性[16] 家兔经皮:1950mg(13周,间断),中度刺激。
7.致突变性[17] 微核试验:小鼠腹腔内给予最低中毒剂量(TDLo)210mg/kg(24h)
1.生态毒性[18] LC50:1.95mg/L(48h)(虹鳟鱼);109mg/L(24h),13mg/L(48h),3.36mg/L(96h)(蓝鳃太阳鱼);2.92mg/L(96h)(黑头呆鱼)
2.生物降解性[19]
好氧生物降解(h):672~4320
厌氧生物降解(h):2688~17280
3.非生物降解性[20]
光解最大光吸收波长范围(nm):278~286
空气中光氧化半衰期(h):128.4~1284
一级水解半衰期(h):29784
4.生物富集性[21] BCF:420~1140(鲤鱼,接触浓度50μg/L,接触时间6周);120~1300(鲤鱼,接触浓度5μg/L,接触时间6周)
MSDS 展开↓|
第一部分:化学品名称
|
|
化学品中文名称:
|
1,2,4- 三氯苯
|
|
化学品英文名称:
|
1,2,4-trichlorobenzene
|
|
中文名称 2 :
|
|
|
英文名称 2 :
|
|
|
技术说明书编码:
|
620
|
|
CAS No. :
|
120-82-1
|
|
分子式:
|
C6H3Cl3
|
|
分子量:
|
181.45
|
|
第二部分:成分 / 组成信息
|
|
|
第三部分:危险性概述
|
|
危险性类别:
|
|
|
侵入途径:
|
|
|
健康危害:
|
高浓度吸入引起呼吸道刺激、麻醉作用及肝损害。眼接触本品液体或雾,发刺激反应。对皮肤有刺激性,可引起化学灼伤。口服刺激口腔和胃肠道,可引起死亡。慢性影响:可发生肝、肾及呼吸系统损害。
|
|
环境危害:
|
|
|
燃爆危险:
|
本品可燃,有毒,具刺激性。
|
|
第四部分:急救措施
|
|
皮肤接触:
|
立即脱去污染的衣着,用大量流动清水冲洗至少 15 分钟。就医。
|
|
眼睛接触:
|
立即提起眼睑,用大量流动清水或生理盐水彻底冲洗至少 15 分钟。就医。
|
|
吸入:
|
迅速脱离现场至空气新鲜处。保持呼吸道通畅。如呼吸困难,给输氧。如呼吸停止,立即进行人工呼吸。就医。
|
|
食入:
|
饮足量温水,催吐。就医。
|
|
第五部分:消防措施
|
|
危险特性:
|
遇明火能燃烧。在空气中受热分解释出剧毒的光气和氯化氢气体。与氧化剂接触猛烈反应。
|
|
有害燃烧产物:
|
一氧化碳、二氧化碳、氯化氢。
|
|
灭火方法:
|
采用雾状水、泡沫、二氧化碳、砂土灭火。
|
|
第六部分:泄漏应急处理
|
|
应急处理:
|
迅速撤离泄漏污染区人员至安全区,并进行隔离,严格限制出入。切断火源。建议应急处理人员戴自给正压式呼吸器,穿防毒服。尽可能切断泄漏源。防止流入下水道、排洪沟等限制性空间。小量泄漏:用砂土或其它不燃材料吸附或吸收。也可以用不燃性分散剂制成的乳液刷洗,洗液稀释后放入废水系统。大量泄漏:构筑围堤或挖坑收容。用泡沫覆盖,降低蒸气灾害。用防爆泵转移至槽车或专用收集器内,回收或运至废物处理场所处置。
|
|
第七部分:操作处置与储存
|
|
操作注意事项:
|
密闭操作,局部排风。操作人员必须经过专门培训,严格遵守操作规程。建议操作人员佩戴防毒面具,戴安全防护眼镜,穿防毒物渗透工作服,戴橡胶耐油手套。远离火种、热源,工作场所严禁吸烟。使用防爆型的通风系统和设备。防止蒸气泄漏到工作场所空气中。避免与氧化剂接触。搬运时要轻装轻卸,防止包装及容器损坏。配备相应品种和数量的消防器材及泄漏应急处理设备。倒空的容器可能残留有害物。
|
|
储存注意事项:
|
储存于阴凉、通风的库房。远离火种、热源。保持容器密封。应与氧化剂、食用化学品分开存放,切忌混储。配备相应品种和数量的消防器材。储区应备有泄漏应急处理设备和合适的收容材料。
|
|
第八部分:接触控制 / 个体防护
|
|
职业接触限值
|
|
|
中国 MAC(mg/m3) :
|
未制定标准
|
|
前苏联 MAC(mg/m3) :
|
10
|
|
TLVTN :
|
未制定标准
|
|
TLVWN :
|
ACGIH 5ppm,37mg/m3
|
|
监测方法:
|
|
|
工程控制:
|
密闭操作,局部排风。提供安全淋浴和洗眼设备。
|
|
呼吸系统防护:
|
空气中浓度超标时,应该佩戴防毒面具。
|
|
眼睛防护:
|
戴安全防护眼镜。
|
|
身体防护:
|
穿防毒物渗透工作服。
|
|
手防护:
|
戴橡胶耐油手套。
|
|
其他防护:
|
工作现场禁止吸烟、进食和饮水。工作完毕,彻底清洗。单独存放被毒物污染的衣服,洗后备用。注意个人清洁卫生。
|
|
第九部分:理化特性
|
|
主要成分:
|
纯品
|
|
外观与性状:
|
无色液体。
|
|
pH :
|
|
|
熔点 ( ℃ ) :
|
17.2
|
|
沸点 ( ℃ ) :
|
213.8
|
|
相对密度 ( 水 =1) :
|
1.45
|
|
相对蒸气密度 ( 空气 =1) :
|
6.26
|
|
饱和蒸气压 (kPa) :
|
0.13(38.4℃)
|
|
燃烧热 (kJ/mol) :
|
2798.7
|
|
临界温度 ( ℃ ) :
|
无资料
|
|
临界压力 (MPa) :
|
无资料
|
|
辛醇 / 水分配系数的对数值:
|
4.28
|
|
闪点 ( ℃ ) :
|
110
|
|
引燃温度 ( ℃ ) :
|
无资料
|
|
爆炸上限 %(V/V) :
|
无资料
|
|
爆炸下限 %(V/V) :
|
无资料
|
|
溶解性:
|
不溶于水,微溶于醇,可混溶于乙醚、苯、石油醚、二硫化碳。
|
|
主要用途:
|
用作溶剂及染料、绝缘液、杀虫剂的合成,也作热载体、及有机合成中间体。
|
|
其它理化性质:
|
|
第十部分:稳定性和反应活性
|
|
稳定性:
|
|
|
禁配物:
|
强氧化剂。
|
|
避免接触的条件:
|
|
|
聚合危害:
|
|
|
分解产物:
|
|
第十一部分:毒理学资料
|
|
急性毒性:
|
LD50 : 756 mg/kg( 大鼠经口 )
LC50 :无资料 |
|
亚急性和慢性毒性:
|
|
|
刺激性:
|
|
|
致敏性:
|
|
|
致突变性:
|
|
|
致畸性:
|
|
|
致癌性:
|
|
第十二部分:生态学资料
|
|
生态毒理毒性:
|
|
|
生物降解性:
|
|
|
非生物降解性:
|
|
|
生物富集或生物积累性:
|
|
|
其它有害作用:
|
该物质对环境可能有危害,建议不要让其进入环境。
|
|
第十三部分:废弃处置
|
|
废弃物性质:
|
|
|
废弃处置方法:
|
用焚烧法处置。与燃料混合后,再焚烧。焚烧炉排出的卤化氢通过酸洗涤器除去。
|
|
废弃注意事项:
|
|
第十四部分:运输信息
|
|
危险货物编号:
|
61658
|
|
UN 编号:
|
2321
|
|
包装标志:
|
|
|
包装类别:
|
O53
|
|
包装方法:
|
液态:小开口钢桶;螺纹口玻璃瓶、铁盖压口玻璃瓶、塑料瓶或金属桶(罐)外普通木箱;螺纹口玻璃瓶、塑料瓶或镀锡薄钢板桶(罐)外满底板花格箱、纤维板箱或胶合板箱。固态:塑料袋或二层牛皮纸袋外全开口或中开口钢桶;螺纹口玻璃瓶、铁盖压口玻璃瓶、塑料瓶或金属桶(罐)外普通木箱;螺纹口玻璃瓶、塑料瓶或镀锡薄钢板桶(罐)外满底板花格箱、纤维板箱或胶合板箱。
|
|
运输注意事项:
|
运输前应先检查包装容器是否完整、密封,运输过程中要确保容器不泄漏、不倒塌、不坠落、不损坏。严禁与酸类、氧化剂、食品及食品添加剂混运。运输时运输车辆应配备相应品种和数量的消防器材及泄漏应急处理设备。运输途中应防曝晒、雨淋,防高温。公路运输时要按规定路线行驶。
|
|
第十五部分:法规信息
|
|
法规信息
|
化学危险物品安全管理条例 (1987 年 2 月 17 日国务院发布 ) ,化学危险物品安全管理条例实施细则 ( 化劳发 [1992] 677 号 ) ,工作场所安全使用化学品规定 ([1996] 劳部发 423 号 ) 等法规,针对化学危险品的安全使用、生产、储存、运输、装卸等方面均作了相应规定;常用危险化学品的分类及标志 (GB 13690-92) 将该物质划为第 6.1 类毒害品。
|
|
第十六部分:其他信息
|
|
参考文献:
|
|
|
填表时间:,
|
|
|
填表部门:
|
|
|
数据审核单位:
|
|
|
修改说明:
|
|
|
其他信息:
|
|
|
MSDS 修改日期:
|
|
分子结构与计算化学数据展开↓
1、摩尔折射率:40.93
2、摩尔体积(cm3/mol):125.2
3、等张比容(90.2K):314.8
4、表面张力(dyne/cm):39.9
5、极化率16.22
1.疏水参数计算参考值(XlogP):无
2.氢键供体数量:0
3.氢键受体数量:0
4.可旋转化学键数量:0
5.互变异构体数量:无
6.拓扑分子极性表面积0
7.重原子数量:9
8.表面电荷:0
9.复杂度:94.3
10.同位素原子数量:0
11.确定原子立构中心数量:0
12.不确定原子立构中心数量:0
13.确定化学键立构中心数量:0
14.不确定化学键立构中心数量:0
15.共价键单元数量:1