欢迎来到化学加!萃聚英才,共享化学!化学加,加您更精彩!
首页
注册入驻
网站资讯
化学加_合成化学产业资源聚合服务平台
www.huaxuejia.cn
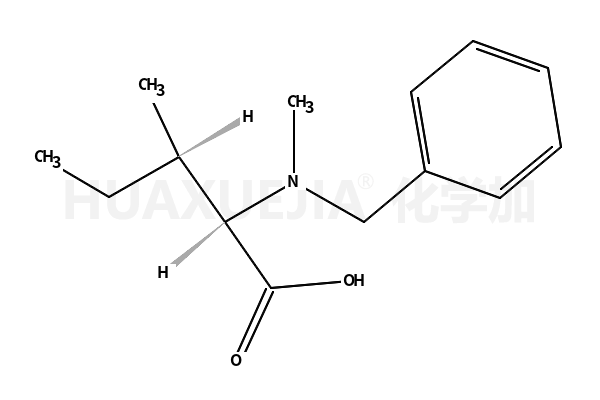
N-BENZYL-N-METHYL-L-ISOLEUCINE
N-BENZYL-N-METHYL-L-ISOLEUCINE 基本信息
CAS号
4125-97-7
分子式
C15H21NO4
分子量
279.33200
精确质量
279.14700
PSA
N/A
LogP
N/A
合成路线
共
1
页
50-00-0
甲醛
+
1859-49-0
BZL-ILE-OH
→
~86%
4125-97-7
N-BENZYL-N-METHYL-L-ISOLEUCINE
1859-49-0
BZL-ILE-OH
→
4125-97-7
N-BENZYL-N-METHYL-L-ISOLEUCINE
合成路线