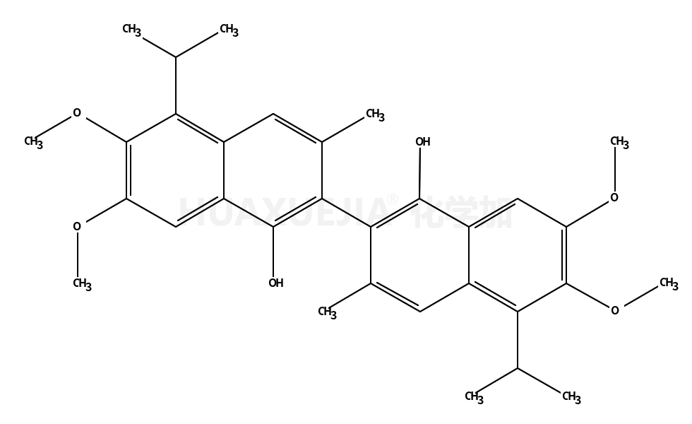
1,6,7-trimethoxy-3-methyl-5-propan-2-yl-2-(1,6,7-trimethoxy-3-methyl-5-propan-2-ylnaphthalen-2-yl)naphthalene

1,6,7-trimethoxy-3-methyl-5-propan-2-yl-2-(1,6,7-trimethoxy-3-methyl-5-propan-2-ylnaphthalen-2-yl)naphthalene 基本信息
CAS号 7144-61-8 分子式 C34H42O6
分子量 546.69400 精确质量  546.29800
PSA  55.38000 LogP  8.57520

基本信息 展开↓

CAS号:
7144-61-8
3D弹球模型:
立即前往扯扯看
分子式:
C34H42O6
分子量:
546.69400
中文名称:
1,6,7-trimethoxy-3-methyl-5-propan-2-yl-2-(1,6,7-trimethoxy-3-methyl-5-propan-2-ylnaphthalen-2-yl)naphthalene
英文名称:
1,6,7-trimethoxy-3-methyl-5-propan-2-yl-2-(1,6,7-trimethoxy-3-methyl-5-propan-2-ylnaphthalen-2-yl)naphthalene
中文别名:
1,6,7-trimethoxy-3-methyl-5-propan-2-yl-2-(1,6,7-trimethoxy-3-methyl-5-propan-2-ylnaphthalen-2-yl)naphthalene
英文别名:
1,6,7-trimethoxy-3-methyl-5-propan-2-yl-2-(1,6,7-trimethoxy-3-methyl-5-propan-2-ylnaphthalen-2-yl)naphthalene;
2,2'-Binaphthalene,1,1',6,6',7,7'-hexamethoxy-3,3'-dimethyl-5,5'-bis(1-methylethyl);
5,5'-DIISOPROPYL-1,1',6,6',7,7'-HEXAMETHOXY-3,3'-DIMETHYL-2,2'-BINAPHTHYL;
Apogossypol-hexamethylaether;
(+-)-Apogossypolhexamethylether;
5,5'-diisopropyl-1,1',6,6',7,7'-hexamethoxy-3,3'-dimethyl-2,2'-binaphthalene;
5,5'-Diisopropyl-1,6,7,1',6',7'-hexamethoxy-3,3'-dimethyl-[2,2']binaphthyl
精确分子量/精确质量:
546.29800
极性分子表面积/PSA:
55.38000
油水分配系数/LogP:

LogP值指的是某物质在正辛醇/水两相体系中的分配系数的对数值,反映了物质在油水两相中的分配情况。其中、LogP值越大,说明该物质越亲油;反之,LogP值越小,则说明该物质越亲水。
InChI:
The Key: PJUBHJXUFSDNKB-UHFFFAOYSA-N

物化性质展开↓

密度:
1.094g/cm3
沸点:
604.4ºC at 760 mmHg
闪点:
223.6ºC
折射率:
1.572

合成路线查看所有的合成路线

  • 784206-41-3

    784206-41-3

  • +

  • 77-78-1

    硫酸二甲酯

  • ~90%

  • 7144-61-8

    1,6,7-trimethoxy-3-methyl-5-propan-2-yl-2-(1,6,7-trimethoxy-3-methyl-5-propan-2-ylnaphthalen-2-yl)naphthalene

  • 77256-08-7

    5,5'-diisopropyl-6,6',7,7'-tetramethoxy-3,3'-dimethyl-[2,2'-binaphthyl]-1,1'-diol

  • +

  • 77-78-1

    硫酸二甲酯

  • ~89%

  • 7144-61-8

    1,6,7-trimethoxy-3-methyl-5-propan-2-yl-2-(1,6,7-trimethoxy-3-methyl-5-propan-2-ylnaphthalen-2-yl)naphthalene

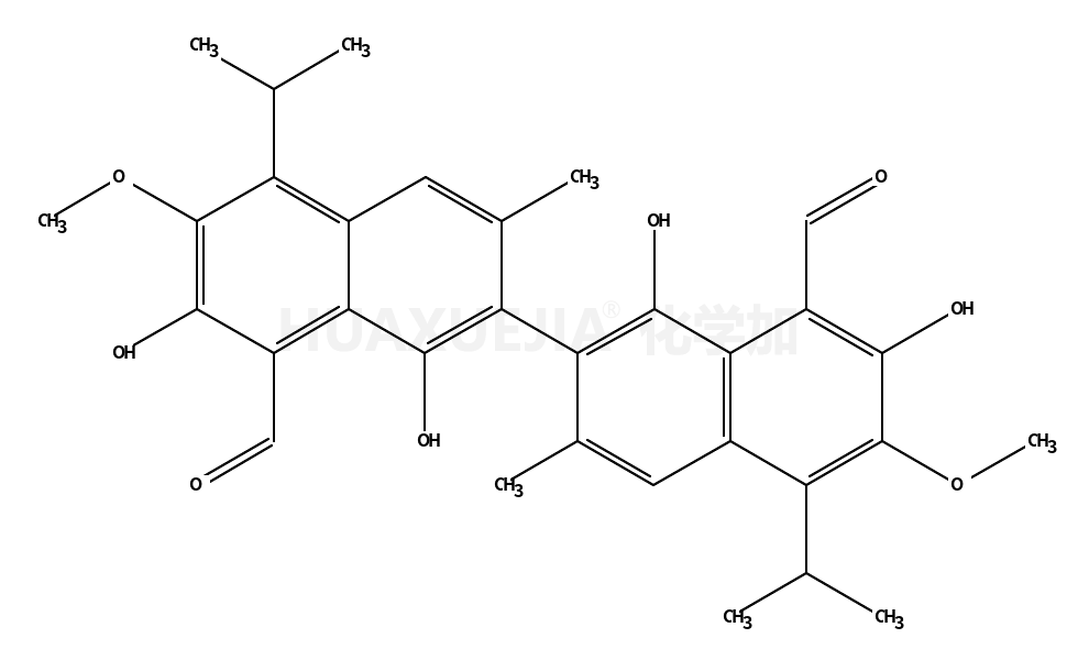
  • 1110-58-3

    8,8'-Diformyl-1,1',7,7'-tetrahydroxy-5,5'-diisopropyl-6,6'-dimethoxy-3,3'-dimethyl-2,2'-binaphthalene

  • 7144-61-8

    1,6,7-trimethoxy-3-methyl-5-propan-2-yl-2-(1,6,7-trimethoxy-3-methyl-5-propan-2-ylnaphthalen-2-yl)naphthalene

上下游相关产品

上游产品

更多
  • 77-78-1

    硫酸二甲酯

  • 77256-08-7

    5,5'-diisopropyl-6,6',7,7'-tetramethoxy-3,3'-dimethyl-[2,2'-binaphthyl]-1,1'-diol

  • 77256-01-0

    1-溴-2-异丙基-3,4-二甲氧基苯

  • 77256-02-1

    2-异丙基-3,4-二甲氧基苯甲醛

  • 77256-03-2

    t-butyl 3-methyl-4-oxo-4-(2-isopropyl-3,4-dimethoxyphenyl)butyrate

立即下载安装“化学加”APP
专业、功能强大,随时调用更加方便