7-METHYL-7-OCTENOIC ACID

7-METHYL-7-OCTENOIC ACID 基本信息
CAS号 5212-71-5 分子式 C9H16O2
分子量 156.22200 精确质量  156.11500
PSA  37.30000 LogP  2.59760

基本信息 展开↓

CAS号:
5212-71-5
3D弹球模型:
立即前往扯扯看
分子式:
C9H16O2
分子量:
156.22200
英文名称:
7-METHYL-7-OCTENOIC ACID
英文别名:
7-METHYL-7-OCTENOIC ACID;
6-Octene-2,5-dione,7-methyl;
7-methyl-oct-6-ene-2,5-dione;
7-Methyl-6-octen-2,5-dion;
7-Methyl-oct-7-ensaeure
精确分子量/精确质量:
156.11500
极性分子表面积/PSA:
37.30000
油水分配系数/LogP:

LogP值指的是某物质在正辛醇/水两相体系中的分配系数的对数值,反映了物质在油水两相中的分配情况。其中、LogP值越大,说明该物质越亲油;反之,LogP值越小,则说明该物质越亲水。
InChI:
The Key: KNZICJALHORLPJ-UHFFFAOYSA-N

物化性质展开↓

密度:
1.386g/cm3
沸点:
484.9ºC at 760 mmHg
闪点:
247ºC
折射率:
1.569

安全信息展开↓

海关代码:
2916190090

合成路线查看所有的合成路线

  • 7228-12-8

    5-Methylhex-5-enyl toluene-p-sulfonate

  • 5212-71-5

    7-METHYL-7-OCTENOIC ACID

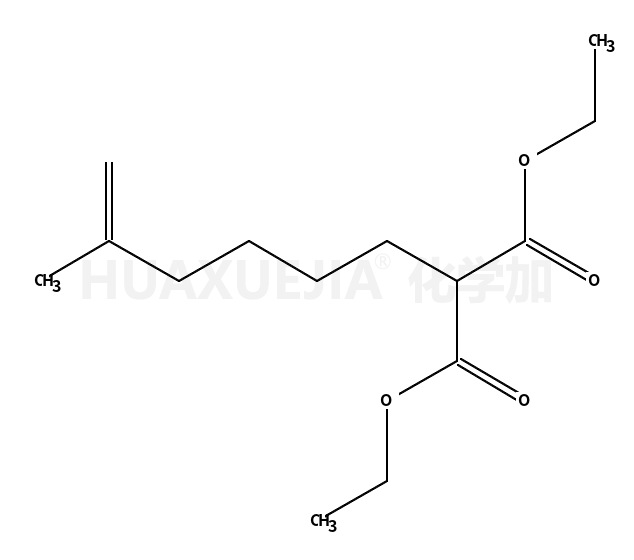
  • 5607-49-8

    2-Ethoxycarbonyl-7-methyl-oct-7-ensaeure-ethylester

  • 5212-71-5

    7-METHYL-7-OCTENOIC ACID

  • 14112-98-2

    7-羰基辛酸

  • +

  • 1779-49-3

    甲基三苯基溴化膦

  • 5212-71-5

    7-METHYL-7-OCTENOIC ACID

海关数据查看详细

中国海关编码:2916190090

概述:
2916190090 其他不饱和无环一元羧酸(包括其酸酐、酰卤化物,过氧化物和过氧酸以及它们的衍生物)。监管条件:AB(入境货物通关单,出境货物通关单)。增值税率:17.0%。退税率:9.0%。最惠国关税:6.5%。普通关税:30.0%
申报要素:
品名, 成分含量, 用途, 丙烯酸、丙烯酸盐或酯应报明包装
监管条件:
A.入境货物通关单B.出境货物通关单
检验检疫:
R.进口食品卫生监督检验S.出口食品卫生监督检验M.进口商品检验N.出口商品检验
摘要/Summary:
2916190090 unsaturated acyclic monocarboxylic acids, their anhydrides, halides, peroxides, peroxyacids and their derivatives。supervision conditions:AB(certificate of inspection for goods inward,certificate of inspection for goods outward)。VAT:17.0%。tax rebate rate:9.0%。MFN tariff:6.5%。general tariff:30.0%

上下游相关产品

上游产品

更多
  • 14112-98-2

    7-羰基辛酸

  • 1779-49-3

    甲基三苯基溴化膦

  • 5607-49-8

    2-Ethoxycarbonyl-7-methyl-oct-7-ensaeure-ethylester

  • 7228-12-8

    5-Methylhex-5-enyl toluene-p-sulfonate

下游产品

更多
  • 693-19-6

    异壬酸

立即下载安装“化学加”APP
专业、功能强大,随时调用更加方便