环己醇,2-氨基-1-乙烯基-,反-(9CI)

环己醇,2-氨基-1-乙烯基-,反-(9CI) 基本信息
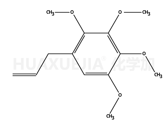
CAS号 72023-44-0 分子式 C11H14O6
分子量 242.22500 精确质量  242.07900
PSA  74.22000 LogP  1.41920

基本信息 展开↓

CAS号:
72023-44-0
3D弹球模型:
立即前往扯扯看
分子式:
C11H14O6
分子量:
242.22500
中文名称:
环己醇,2-氨基-1-乙烯基-,反-(9CI)
英文名称:
2,3,4,5-tetramethoxybenzoic acid
中文别名:
环己醇,2-氨基-1-乙烯基-,反-(9CI)
英文别名:
2,3,4,5-tetramethoxybenzoic acid;
Tetramethoxy-benzoesaeure;
2,3,4,5-Tetramethoxy-benzoesaeure;
2,3,4,5-tetramethoxy-benzoic acid;
Benzoic acid,2,3,4,5-tetramethoxy
精确分子量/精确质量:
242.07900
极性分子表面积/PSA:
74.22000
油水分配系数/LogP:

LogP值指的是某物质在正辛醇/水两相体系中的分配系数的对数值,反映了物质在油水两相中的分配情况。其中、LogP值越大,说明该物质越亲油;反之,LogP值越小,则说明该物质越亲水。
InChI:
The Key: AJNOMVUCBQJKGC-UHFFFAOYSA-N

合成路线查看所有的合成路线

  • 65884-12-0

    2,3,4,5-tetramethoxybenzaldehyde

  • ~94%

  • 72023-44-0

    环己醇,2-氨基-1-乙烯基-,反-(9CI)

  • 23346-82-9

    2-溴-3,4,5-三甲氧基苯甲酸

  • +

  • 124-41-4

    甲醇钠

  • ~92%

  • 72023-44-0

    环己醇,2-氨基-1-乙烯基-,反-(9CI)

  • 15361-99-6

    1,2,3,4-Tetramethoxy-5-(2-propenyl)benzene

  • +

  • 7732-18-5

  • 72023-44-0

    环己醇,2-氨基-1-乙烯基-,反-(9CI)

分子结构与计算化学数据展开↓

计算化学数据


1.疏水参数计算参考值(XlogP):1.3

2.氢键供体数量:1

3.氢键受体数量:6

4.可旋转化学键数量:5

5.互变异构体数量:无

6.拓扑分子极性表面积:74.2

7.重原子数量:17

8.表面电荷:0

9.复杂度:256

10.同位素原子数量:0

11.确定原子立构中心数量:0

12.不确定原子立构中心数量:0

13.确定化学键立构中心数量:0

14.不确定化学键立构中心数量:0

15.共价键单元数量:1

上下游相关产品

上游产品

更多
  • 65884-12-0

    2,3,4,5-tetramethoxybenzaldehyde

  • 23346-82-9

    2-溴-3,4,5-三甲氧基苯甲酸

  • 124-41-4

    甲醇钠

  • 118-41-2

    3,4,5-三甲氧基苯甲酸

  • 15361-99-6

    1,2,3,4-Tetramethoxy-5-(2-propenyl)benzene

下游产品

更多
  • 124-38-9

    二氧化碳

  • 21450-56-6

    1,2,3,4-四甲氧基苯

立即下载安装“化学加”APP
专业、功能强大,随时调用更加方便