环嗪酮

环嗪酮 基本信息
CAS号 51235-04-2 分子式 C12H20N4O2
分子量 252.31300 精确质量  252.15900
PSA  60.13000 LogP  0.51320

基本信息 展开↓

CAS号:
51235-04-2
3D弹球模型:
立即前往扯扯看
分子式:
C12H20N4O2
分子量:
252.31300
中文名称:
环嗪酮
英文名称:
hexazinone
中文别名:
环嗪酮;
3-环己基-6-二甲氨基-1-甲基-1,3,5-三嗪-2,4(1H,3H)二酮;
3-环己烷-6-(二甲基氨基)-1-甲基-1,3,5-三氮苯-2,4-(1H,3H)-二酮;
威尔柏;
林草净,威尔柏,3-环己基-6-二甲氨基-1-甲基-1,3,5-三嗪-2,4-二酮;
3-环己基-6-二甲氨基-1-甲基-1,3,5-三嗪-2,4-二酮;
林草净
英文别名:
hexazinone;
Gridball;
Caswell No. 271AA;
Velpar L;
HEXAZINONE;
3-Cyclohexyl-6-(dimethylamino)-1-methyl-1,3,5-triazine-2,4(1H,3H)-dione;
Brush Killer;
1-methyl-3-cyclohexyl-6-dimethylamino-1,3,5-triazin-2,4-dione;
Velpar weed killer;
3-cyclohexyl-6-(dimethylamino)-1-methyl-1,3,5-triazine-2,4-dione;
3-cyclohexyl-6-dimethylamino-1-methyl-1,3,5-triazine-2,4(1H,3H)-dione;
Velpar;
3-cyclohexyl-6-(dimethylamino)-1-methyl-1,3,5-triazine-2,4(1H,3H)-dione
精确分子量/精确质量:
252.15900
极性分子表面积/PSA:
60.13000
油水分配系数/LogP:

LogP值指的是某物质在正辛醇/水两相体系中的分配系数的对数值,反映了物质在油水两相中的分配情况。其中、LogP值越大,说明该物质越亲油;反之,LogP值越小,则说明该物质越亲水。
贝尔斯坦号/MDL:
MFCD00055526
EINECS:
257-074-4
BRN:
618801
InChI:
InChI=1/C12H20N4O2/c1-14(2)10-13-11(17)16(12(18)15(10)3)9-7-5-4-6-8-9/h9H,4-8H2,1-3H3

生产制备方法及用途展开↓

制备方法


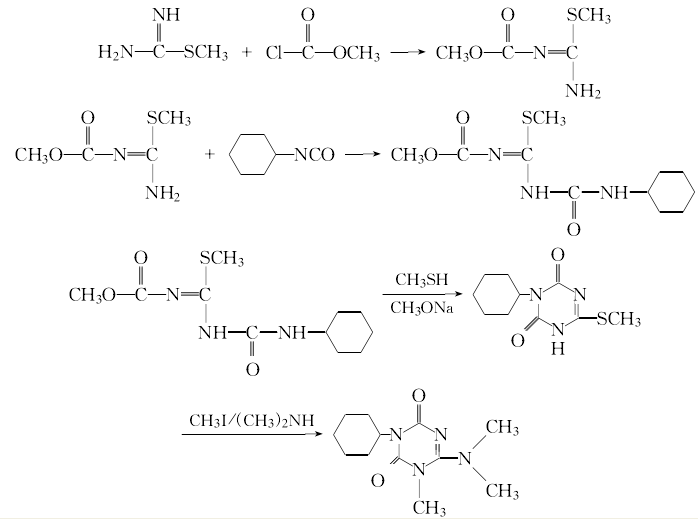
制备方法一甲基物的合成 在石灰氮与水作用,生成氰胺。滴加氯甲酸乙酯,保持反应温度40℃左右,当pH值6~7时为反应终点,滴结于40℃搅拌1h,过滤,得N-氰基-N-甲基氨基甲酸乙酯。胍的合成 上述甲基物(含量60%~80%)、二甲胺盐酸盐和水,于80~100℃反应6h,冷却,加生活方式液碱,用氯仿萃取,废水去处理工序,萃取液脱溶后得N-乙氧基羰基-N,N',N'-三甲基胍盐酸盐,进而与碱反应生成胍。加成物的合成 在甲苯存在下,将异氰酸环己酯甲苯溶液(含量10%~20%)滴加到胍-甲苯溶液中,于50~80℃反应2h,得N-(N'-环己基氨基甲酰基-N,N-二甲脒基)-N-甲基氨基甲酸乙酯。环嗪酮的合成 将上述加成物中加入20%左右的甲醇钠进行环合得环嗪酮。环合产物需水洗、分层、脱溶、结晶、分离、干燥等后处理,得到含量≥90%的产品。制备方法二

合成制备方法


制备方法一
甲基物的合成 在石灰氮与水作用,生成氰胺。滴加氯甲酸乙酯,保持反应温度40℃左右,当pH值6~7时为反应终点,滴结于40℃搅拌1h,过滤,得N-氰基-N-甲基氨基甲酸乙酯。
胍的合成 上述甲基物(含量60%~80%)、二甲胺盐酸盐和水,于80~100℃反应6h,冷却,加生活方式液碱,用氯仿萃取,废水去处理工序,萃取液脱溶后得N-乙氧基羰基-N,N',N'-三甲基胍盐酸盐,进而与碱反应生成胍。
加成物的合成 在甲苯存在下,将异氰酸环己酯甲苯溶液(含量10%~20%)滴加到胍-甲苯溶液中,于50~80℃反应2h,得N-(N'-环己基氨基甲酰基-N,N-二甲脒基)-N-甲基氨基甲酸乙酯。
环嗪酮的合成 将上述加成物中加入20%左右的甲醇钠进行环合得环嗪酮。环合产物需水洗、分层、脱溶、结晶、分离、干燥等后处理,得到含量≥90%的产品。
制备方法二

用途简介


芽后触杀性除草剂,抑制植物的光合作物。它的杀草谱和杀灌木谱较广,而且毒力强,持效长,用于常绿针叶林,如红松、樟子松、云杉、马尾松等幼林抚育,造林前除草灭灌,维护和开设森林防火道以及林土改良等,也可用于油库、机场、道路两边的除草灭灌。可防除狗尾草、蚊子草、走马芹、羊胡苔草、香薷、芦苇、小叶樟、窄叶山嵩、蕨、铁线莲、轮叶婆婆纳、刺儿菜、野燕麦、蓼、稗、藜等。能防治的木本植物有黄色忍冬、珍珠海、榛材、柳叶绣线菊、刺五加、翅春榆、山杨、桦、蒙古柞、椴、水曲柳、黄菠萝、核桃楸等。用于防除1年生或2年生杂草,以2~5kg/hm2 剂量可短期控制杂草生长,以6~12kg/hm2剂量可防除大多数多年生杂草。应用本品时可添加非离子型表面活性剂。

用途


芽后触杀性除草剂,抑制植物的光合作物。它的杀草谱和杀灌木谱较广,而且毒力强,持效长,用于常绿针叶林,如红松、樟子松、云杉、马尾松等幼林抚育,造林前除草灭灌,维护和开设森林防火道以及林土改良等,也可用于油库、机场、道路两边的除草灭灌。可防除狗尾草、蚊子草、走马芹、羊胡苔草、香薷、芦苇、小叶樟、窄叶山嵩、蕨、铁线莲、轮叶婆婆纳、刺儿菜、野燕麦、蓼、稗、藜等。能防治的木本植物有黄色忍冬、珍珠海、榛材、柳叶绣线菊、刺五加、翅春榆、山杨、桦、蒙古柞、椴、水曲柳、黄菠萝、核桃楸等。用于防除1年生或2年生杂草,以2~5kg/hm2 剂量可短期控制杂草生长,以6~12kg/hm2剂量可防除大多数多年生杂草。应用本品时可添加非离子型表面活性剂。

物化性质展开↓

外观与性状:
黄褐色,自由流动颗粒带有一种淡刺鼻的气味
密度:
1.27g/cm3
熔点:
97-100.5ºC
沸点:
332.8ºC at 760mmHg
闪点:
155.1ºC
折射率:
1.513 (25ºC)
存储条件/存储方法:
库房通风低温干燥,与食品原料分开储运
稳定性相关:

如果遵照规格使用和储存则不会分解,未有已知危险反应

                                                

其它信息:

1.       性状:白色结晶固体。

2.       密度(g/mL,25ºC):0.58

3.       相对蒸汽密度(g/mL,空气=1): 未确定

4.       熔点(ºC):115~117

5.       沸点(ºC):未确定

6.       沸点(ºC,2mm hg):未确定

7.       折射率:未确定

8.       闪点(°C):未确定

9.       比旋光度(ºC):未确定

10.    自燃点或引燃温度(ºC): 未确定

11.    蒸气压(kPa,25ºC):2.7×10-3

12.    饱和蒸气压(kPa,60ºC):未确定

13.    燃烧热(KJ/mol):未确定

14.    临界温度(ºC):未确定

15.    临界压力(KPa):未确定

16.    油水(辛醇/水)分配系数的对数值:未确定

17.    爆炸上限(%,V/V):未确定

18.    爆炸下限(%,V/V):未确定

19.    溶解性:能溶解于水的

安全信息展开↓

海关代码:
2933699014
危险类别码:
R22
安全说明:
S60-S61
RTECS号:
XY7850000
危险标志:
Xn,N

合成路线查看所有的合成路线

  • 51162-60-8

    3-cyclohexyl-1-methyl-6-methylsulfanyl-1,3,5-triazine-2,4-dione

  • 51235-04-2

    环嗪酮

化学图谱

  1. 环嗪酮质谱(MS)

上一页 1/4 下一页

毒理性展开↓

CHEMICAL IDENTIFICATION

RTECS NUMBER :
XY7850000
CHEMICAL NAME :
s-Triazine-2,4(1H,3H)-dione, 3-cyclohexyl-6-(dimethylamino)-1-methyl-
CAS REGISTRY NUMBER :
51235-04-2
BEILSTEIN REFERENCE NO. :
0618801
LAST UPDATED :
199710
DATA ITEMS CITED :
15
MOLECULAR FORMULA :
C12-H20-N4-O2
MOLECULAR WEIGHT :
252.36
WISWESSER LINE NOTATION :
T6NVNVNJ A1 FN1&1 C- AL6TJ

HEALTH HAZARD DATA

ACUTE TOXICITY DATA

TYPE OF TEST :
Standard Draize test
ROUTE OF EXPOSURE :
Administration into the eye
SPECIES OBSERVED :
Rodent - rabbit
REFERENCE :
FAATDF Fundamental and Applied Toxicology. (Academic Press, Inc., 1 E. First St., Duluth, MN 55802) V.1- 1981- Volume(issue)/page/year: 4,603,1984 ** ACUTE TOXICITY DATA **
TYPE OF TEST :
LD50 - Lethal dose, 50 percent kill
ROUTE OF EXPOSURE :
Oral
SPECIES OBSERVED :
Rodent - rat
DOSE/DURATION :
1690 mg/kg
TOXIC EFFECTS :
Details of toxic effects not reported other than lethal dose value
REFERENCE :
85ARAE "Agricultural Chemicals," Thomson, W.T., 4 vols., Fresno, CA, Thomson Publications, 1976/77 revision Volume(issue)/page/year: 2,135,1977
TYPE OF TEST :
LC50 - Lethal concentration, 50 percent kill
ROUTE OF EXPOSURE :
Inhalation
SPECIES OBSERVED :
Rodent - rat
DOSE/DURATION :
>7480 mg/m3/1H
TOXIC EFFECTS :
Details of toxic effects not reported other than lethal dose value
REFERENCE :
85JFAN "Agrochemicals Handbook," with updates, Hartley, D., and H. Kidd, eds., Nottingham, Royal Soc. of Chemistry, 1983-86 Volume(issue)/page/year: A228,1984
TYPE OF TEST :
LD50 - Lethal dose, 50 percent kill
ROUTE OF EXPOSURE :
Administration onto the skin
SPECIES OBSERVED :
Rodent - rat
DOSE/DURATION :
5278 mg/kg
TOXIC EFFECTS :
Details of toxic effects not reported other than lethal dose value
REFERENCE :
FMCHA2 Farm Chemicals Handbook. (Meister Pub., 37841 Euclid Ave., Willoughy, OH 44094) Volume(issue)/page/year: -,C163,1991
TYPE OF TEST :
LD50 - Lethal dose, 50 percent kill
ROUTE OF EXPOSURE :
Intraperitoneal
SPECIES OBSERVED :
Rodent - rat
DOSE/DURATION :
530 mg/kg
TOXIC EFFECTS :
Behavioral - somnolence (general depressed activity) Behavioral - convulsions or effect on seizure threshold Behavioral - ataxia
REFERENCE :
FAATDF Fundamental and Applied Toxicology. (Academic Press, Inc., 1 E. First St., Duluth, MN 55802) V.1- 1981- Volume(issue)/page/year: 4,603,1984
TYPE OF TEST :
LD50 - Lethal dose, 50 percent kill
ROUTE OF EXPOSURE :
Administration onto the skin
SPECIES OBSERVED :
Rodent - rabbit
DOSE/DURATION :
>5278 mg/kg
TOXIC EFFECTS :
Details of toxic effects not reported other than lethal dose value
REFERENCE :
PEMNDP Pesticide Manual. (The British Crop Protection Council, 20 Bridport Rd., Thornton Heath CR4 7QG, UK) V.1- 1968- Volume(issue)/page/year: 9,472,1991
TYPE OF TEST :
LD50 - Lethal dose, 50 percent kill
ROUTE OF EXPOSURE :
Oral
SPECIES OBSERVED :
Rodent - guinea pig
DOSE/DURATION :
860 mg/kg
TOXIC EFFECTS :
Details of toxic effects not reported other than lethal dose value
REFERENCE :
PESTC* Pesticide & Toxic Chemical News. (Food Chemical News, Inc., 400 Wyatt Bldg., 777 14th St., NW, Washington, DC 20005) V.1- 1972- Volume(issue)/page/year: 9,21,1980
TYPE OF TEST :
LD50 - Lethal dose, 50 percent kill
ROUTE OF EXPOSURE :
Oral
SPECIES OBSERVED :
Bird - quail
DOSE/DURATION :
2258 mg/kg
TOXIC EFFECTS :
Details of toxic effects not reported other than lethal dose value
REFERENCE :
85JCAE "Prehled Prumyslove Toxikologie; Organicke Latky," Marhold, J., Prague, Czechoslovakia, Avicenum, 1986 Volume(issue)/page/year: -,881,1986
TYPE OF TEST :
LD50 - Lethal dose, 50 percent kill
ROUTE OF EXPOSURE :
Intraperitoneal
SPECIES OBSERVED :
Bird - quail
DOSE/DURATION :
2258 mg/kg
TOXIC EFFECTS :
Behavioral - somnolence (general depressed activity) Behavioral - convulsions or effect on seizure threshold Behavioral - ataxia
REFERENCE :
FAATDF Fundamental and Applied Toxicology. (Academic Press, Inc., 1 E. First St., Duluth, MN 55802) V.1- 1981- Volume(issue)/page/year: 4,603,1984 ** OTHER MULTIPLE DOSE TOXICITY DATA **
TYPE OF TEST :
TDLo - Lowest published toxic dose
ROUTE OF EXPOSURE :
Oral
SPECIES OBSERVED :
Rodent - mouse
DOSE/DURATION :
219 mg/kg/2Y-C
TOXIC EFFECTS :
Lungs, Thorax, or Respiration - changes in lung weight Kidney, Ureter, Bladder - changes in bladder weight Nutritional and Gross Metabolic - weight loss or decreased weight gain
REFERENCE :
FAATDF Fundamental and Applied Toxicology. (Academic Press, Inc., 1 E. First St., Duluth, MN 55802) V.1- 1981- Volume(issue)/page/year: 4,960,1984 ** REPRODUCTIVE DATA **
TYPE OF TEST :
TDLo - Lowest published toxic dose
ROUTE OF EXPOSURE :
Oral
DOSE :
51700 mg/kg
SEX/DURATION :
male 94 day(s) pre-mating female 94 day(s) pre-mating
TOXIC EFFECTS :
Reproductive - Effects on Newborn - growth statistics (e.g.%, reduced weight gain)
REFERENCE :
FAATDF Fundamental and Applied Toxicology. (Academic Press, Inc., 1 E. First St., Duluth, MN 55802) V.1- 1981- Volume(issue)/page/year: 4,960,1984 *** U.S. STANDARDS AND REGULATIONS *** EPA FIFRA 1988 PESTICIDE SUBJECT TO REGISTRATION OR RE-REGISTRATION FEREAC Federal Register. (U.S. Government Printing Office, Supt. of Documents, Washington, DC 20402) V.1- 1936- Volume(issue)/page/year: 54,7740,1989
毒理学数据:

原药对大鼠急性经口LD50 1690 mg /kg,兔急性经皮LD50> 5278mg /kg ,大鼠急性经皮LD50> 2000mg /kg。对兔眼睛有刺激作用。其蓄积系数K值>5,属轻度蓄积类农药,在试验范围内,对动物无致畸、致癌、致突变作用。二代繁殖试验和神经毒性试验未见异常。两年词喂试验无作用剂量大鼠为200mg /kg。虹蝉鱼LC50 388mg/L,鹤鹑经日LD50 > 5000 mg /kg >野鸭LD50>10000mg/kg,蜜蜂LC5060μg/只。

生态数据:

对水是稍微有危害的不要让未稀释或大量的产品接触地下水、水道或者污水系统,若无政府许可,勿将材料排入周围环境

MSDS 展开↓

  1.1 产品标识符
    : 环嗪酮
    产品名称
  1.2 鉴别的其他方法
    无数据资料
  1.3 有关的确定了的物质或混合物的用途和建议不适合的用途
    仅供科研用途,不作为药物、家庭备用药或其它用途。

模块 2. 危险性概述
  2.1 GHS分类
    急性毒性, 经口 (类别4)
    急性毒性, 吸入 (类别4)
    眼刺激 (类别2A)
    急性水生毒性 (类别1)
  2.2 GHS 标记要素,包括预防性的陈述
    象形图
    警示词        警告    
    危险申明
    H302        吞咽有害。    
    H319        造成严重眼刺激。    
    H332        吸入有害。    
    H400        对水生生物毒性极大。    
    警告申明
    预防
    P261        避免吸入粉尘/烟/气体/烟雾/蒸气/喷雾.    
    P264        操作后彻底清洁皮肤。    
    P270        使用本产品时不要进食、饮水或吸烟。    
    P271        只能在室外或通风良好之处使用。    
    P273        避免释放到环境中。    
    P280        穿戴防护手套/ 眼保护罩/ 面部保护罩。    
    措施
    P301 + P312        如果吞下去了: 如感觉不适,呼救解毒中心或看医生。    
    P304 + P340        如吸入,将患者移至新鲜空气处并保持呼吸顺畅的姿势休息.    
    P305 + P351 + P338        如与眼睛接触,用水缓慢温和地冲洗几分钟。如戴隐形眼镜并可方便地取    
    出,取出隐形眼镜,然后继续冲洗.
    P312        如感觉不适,呼救中毒控制中心或医生.    
    P330        漱口。    
    P337 + P313        如仍觉眼睛刺激:求医/就诊。 如仍觉眼睛刺激:求医/就诊.    
    P391        收集溢出物。    
    处理
    P501        将内容物/ 容器处理到得到批准的废物处理厂。    
  2.3 其它危害物 - 无

模块 3. 成分/组成信息
  3.1 物 质
    : C12H20N4O2
    分子式
    : 252.31 g/mol
    分子量
    组分        浓度或浓度范围    
    Hexazinone
    -
    CAS 号        51235-04-2    
    EC-编号        257-074-4    
    索引编号        613-132-00-4    

模块 4. 急救措施
  4.1 必要的急救措施描述
    一般的建议
    请教医生。 出示此安全技术说明书给到现场的医生看。
    吸入
    如果吸入,请将患者移到新鲜空气处。 如果停止了呼吸,给于人工呼吸。 请教医生。
    皮肤接触
    用肥皂和大量的水冲洗。 请教医生。
    眼睛接触
    用大量水彻底冲洗至少15分钟并请教医生。
    食入
    切勿给失去知觉者从嘴里喂食任何东西。 用水漱口。 请教医生。
  4.2 主要症状和影响,急性和迟发效应
  4.3 及时的医疗处理和所需的特殊处理的说明和指示
    无数据资料

模块 5. 消防措施
  5.1 灭火介质
    灭火方法及灭火剂
    用水雾,耐醇泡沫,干粉或二氧化碳灭火。
  5.2 源于此物质或混合物的特别的危害
    碳氧化物, 氮氧化物
    碳氧化物, 氮氧化物
  5.3 给消防员的建议
    如必要的话,戴自给式呼吸器去救火。
  5.4 进一步信息
    无数据资料

模块 6. 泄露应急处理
  6.1 人员的预防,防护设备和紧急处理程序
    使用个人防护设备。 防止粉尘的生成。 防止吸入蒸汽、气雾或气体。 保证充分的通风。
    将人员撤离到安全区域。 避免吸入粉尘。
  6.2 环境保护措施
    在确保安全的前提下,采取措施防止进一步的泄漏或溢出。 不要让产物进入下水道。
    防止排放到周围环境中。
  6.3 抑制和清除溢出物的方法和材料
    收集、处理泄漏物,不要产生灰尘。 扫掉和铲掉。 存放进适当的闭口容器中待处理。
  6.4 参考其他部分
    丢弃处理请参阅第13节。

模块 7. 操作处置与储存
  7.1 安全操作的注意事项
    避免接触皮肤和眼睛。 防止粉尘和气溶胶生成。
    在有粉尘生成的地方,提供合适的排风设备。
  7.2 安全储存的条件,包括任何不兼容性
    贮存在阴凉处。 容器保持紧闭,储存在干燥通风处。
  7.3 特定用途
    无数据资料

模块 8. 接触控制和个体防护
  8.1 容许浓度
    最高容许浓度
    没有已知的国家规定的暴露极限。
  8.2 暴露控制
    适当的技术控制
    按照良好工业和安全规范操作。 休息前和工作结束时洗手。
    个体防护设备
    眼/面保护
    带有防护边罩的安全眼镜符合 EN166要求请使用经官方标准如NIOSH (美国) 或 EN 166(欧盟)
    检测与批准的设备防护眼部。
    皮肤保护
    戴手套取 手套在使用前必须受检查。
    请使用合适的方法脱除手套(不要接触手套外部表面),避免任何皮肤部位接触此产品.
    使用后请将被污染过的手套根据相关法律法规和有效的实验室规章程序谨慎处理. 请清洗并吹干双手
    所选择的保护手套必须符合EU的89/686/EEC规定和从它衍生出来的EN 376标准。
    身体保护
    全套防化学试剂工作服, 防护设备的类型必须根据特定工作场所中的危险物的浓度和含量来选择。
    呼吸系统防护
    如须暴露于有害环境中,请使用P95型(美国)或P1型(欧盟 英国
    143)防微粒呼吸器。如需更高级别防护,请使用OV/AG/P99型(美国)或ABEK-P2型 (欧盟 英国 143)
    防毒罐。
    呼吸器使用经过测试并通过政府标准如NIOSH(US)或CEN(EU)的呼吸器和零件。

模块 9. 理化特性
  9.1 基本的理化特性的信息
    a) 外观与性状
    形状: 固体
    b) 气味
    无数据资料
    c) 气味阈值
    无数据资料
    d) pH值
    无数据资料
    e) 熔点/凝固点
    无数据资料
    f) 起始沸点和沸程
    无数据资料
    g) 闪点
    无数据资料
    h) 蒸发速率
    无数据资料
    i) 易燃性(固体,气体)
    无数据资料
    j) 高的/低的燃烧性或爆炸性限度 无数据资料
    k) 蒸汽压
    无数据资料
    l) 蒸汽密度
    无数据资料
    m) 相对密度
    无数据资料
    n) 水溶性
    无数据资料
    o) n-辛醇/水分配系数
    无数据资料
    p) 自燃温度
    无数据资料
    q) 分解温度
    无数据资料
    r) 粘度
    无数据资料

模块 10. 稳定性和反应活性
  10.1 反应性
    无数据资料
  10.2 稳定性
    无数据资料
  10.3 危险反应的可能性
    无数据资料
  10.4 应避免的条件
    无数据资料
  10.5 不兼容的材料
    强氧化剂
  10.6 危险的分解产物
    其它分解产物 - 无数据资料

模块 11. 毒理学资料
  11.1 毒理学影响的信息
    急性毒性
    半数致死剂量 (LD50) 经口 - 大鼠 - 1,690 mg/kg
    半数致死浓度(LC50) 吸入 - 大鼠 - 1 h - > 7,480 mg/m3
    半数致死剂量 (LD50) 经皮 - 兔子 - > 5,278 mg/kg
    皮肤刺激或腐蚀
    眼睛刺激或腐蚀
    眼睛 - 兔子 - 中度的眼睛刺激
    呼吸道或皮肤过敏
    无数据资料
    生殖细胞突变性
    无数据资料
    致癌性
    IARC:
    此产品中没有大于或等于 0。1%含量的组分被 IARC鉴别为可能的或肯定的人类致癌物。
    生殖毒性
    致畸性 - 大鼠 - 经口
    对新生儿的影响:生长统计数据(例如体重增长的减少)。
    特异性靶器官系统毒性(一次接触)
    无数据资料
    特异性靶器官系统毒性(反复接触)
    无数据资料
    吸入危险
    无数据资料
    潜在的健康影响
    吸入        吸入有害。 可能引起呼吸道刺激。    
    摄入        误吞对人体有害。    
    皮肤        如果通过皮肤吸收可能是有害的。 可能引起皮肤刺激。    
    眼睛        造成严重眼刺激。    
    附加说明
    化学物质毒性作用登记: XY7850000

模块 12. 生态学资料
  12.1 生态毒性
    对鱼类的毒性        半数致死浓度(LC50) - Oncorhynchus mykiss (红鳟) - 872 mg/l - 96.0 h    
    对水蚤和其他水生无脊        半致死有效浓度(EC50) - Daphnia magna (大型蚤) - 85 mg/l - 48 h    
    椎动物的毒性
  12.2 持久存留性和降解性
    无数据资料
  12.3 潜在的生物蓄积性
    无数据资料
  12.4 土壤中的迁移性
    无数据资料
  12.5 PBT 和 vPvB的结果评价
    无数据资料
  12.6 其它不利的影响
    对水生生物毒性极大。

模块 13. 废弃处置
  13.1 废物处理方法
    产品
    将剩余的和未回收的溶液交给处理公司。
    与易燃溶剂相溶或者相混合,在备有燃烧后处理和洗刷作用的化学焚化炉中燃烧
    受污染的容器和包装
    作为未用过的产品弃置。

模块 14. 运输信息
  14.1 联合国危险货物编号
    欧洲陆运危规: 3077        国际海运危规: 3077        国际空运危规: 3077    
  14.2 联合国(UN)规定的名称
    欧洲陆运危规: ENVIRONMENTALLY HAZARDOUS SUBSTANCE, SOLID, N.O.S. (Hexazinone)
    国际海运危规: ENVIRONMENTALLY HAZARDOUS SUBSTANCE, SOLID, N.O.S. (Hexazinone)
    国际空运危规: Environmentally hazardous substance, solid, n.o.s. (Hexazinone)
  14.3 运输危险类别
    欧洲陆运危规: 9        国际海运危规: 9        国际空运危规: 9    
  14.4 包裹组
    欧洲陆运危规: III        国际海运危规: III        国际空运危规: III    
  14.5 环境危险
    欧洲陆运危规: 是        国际海运危规 海运污染物: 是        国际空运危规: 是    
  14.6 对使用者的特别提醒
    进一步信息
    危险品独立包装,液体5升以上或固体5公斤以上,每个独立包装外和独立内包装合并后的外包装上都必须有EHS
    标识 (根据欧洲 ADR 法规 2.2.9.1.10, IMDG 法规 2.10.3),


模块 15 - 法规信息
N/A


模块16 - 其他信息
N/A

海关数据查看详细

中国海关编码:2933699014

概述:
HS: 2933699014 丁嗪草酮,环嗪酮,嗪草酮等〔包括苯嗪草酮,乙嗪草酮〕 增值税率:17.0% 退税率:9.0% 监管条件:S(进出口农药登记证明) 最低关税:6.5% 普通关税:20.0%
申报要素:
品名, 成分含量, 用途, 乌洛托品请注明外观, 6-己内酰胺请注明外观, 签约日期
监管条件:
S.进出口农药登记证明
摘要/Summary:
2933699014 4-amino-6-(tert-butyl)-3-(methylthio)-1,2,4-triazin-5(4h)-one。supervision conditions:s(import or export registration certificate for pesticides)。VAT:17.0%。tax rebate rate:9.0%。MFN tarrif:6.5%。general tariff:20.0%

分子结构与计算化学数据展开↓

计算化学数据


1.疏水参数计算参考值(XlogP):1.3

2.氢键供体数量:0

3.氢键受体数量:2

4.可旋转化学键数量:2

5.互变异构体数量:无

6.拓扑分子极性表面积56.2

7.重原子数量:18

8.表面电荷:0

9.复杂度:386

10.同位素原子数量:0

11.确定原子立构中心数量:0

12.不确定原子立构中心数量:0

13.确定化学键立构中心数量:0

14.不确定化学键立构中心数量:0

15.共价键单元数量:1

上下游相关产品

上游产品

更多
  • 51162-60-8

    3-cyclohexyl-1-methyl-6-methylsulfanyl-1,3,5-triazine-2,4-dione

立即下载安装“化学加”APP
专业、功能强大,随时调用更加方便