4-氯苯胺盐酸盐

4-氯苯胺盐酸盐 基本信息
CAS号 20265-96-7 分子式 C6H7Cl2N
分子量 164.03200 精确质量  162.99600
PSA  N/A LogP  N/A

合成路线 1

  • 3289-75-6

    N-(4-氯苯基)-2-氯乙酰胺

  • ~99%

  • 20265-96-7

    4-氯苯胺盐酸盐

  • 100-00-5

    对硝基氯苯

  • ~96%

  • 20265-96-7

    4-氯苯胺盐酸盐

  • 68089-94-1

    9-Fluorenylmethyl N-p-chlorphenyl carbamate

  • ~95%

  • 20265-96-7

    4-氯苯胺盐酸盐

  • 539-03-7

    对氯乙酰苯胺

  • ~90%

  • 20265-96-7

    4-氯苯胺盐酸盐

  • 74234-61-0

    N-(4-chlorophenyl)-8-(((4-chlorophenyl)imino)methyl)-3-methoxy-6,7-dihydro-5H-benzo[7]annulen-9-amine hydrochloride

  • 20265-96-7

    4-氯苯胺盐酸盐

  • +

  • 74234-52-9

    10-chloro-3-methoxy-6,7-dihydro-5H-benzo[6,7]cyclohepta[1,2-b]quinoline

  • 42549-54-2

    Bisdecylmalonitril

  • 20265-96-7

    4-氯苯胺盐酸盐

  • +

  • 100-52-7

    苯甲醛

  • 82054-48-6

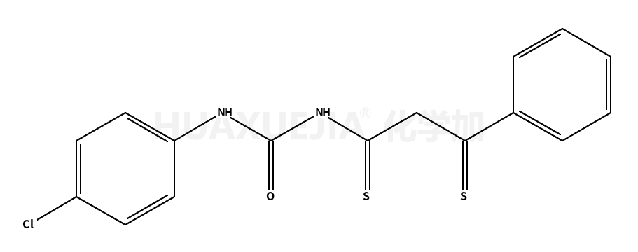
    N-((4-chlorophenyl)carbamoyl)-3-phenyl-3-thioxopropanethioamide

  • 124-38-9

    二氧化碳

  • +

  • 20265-96-7

    4-氯苯胺盐酸盐

  • 106-47-8

    对氯苯胺

  • +

  • 97-00-7

    1-氯-2,4-二硝基苯

  • 1226-23-9

    N-(4-Chlorophenyl)-2,4-dinitroaniline

  • +

  • 20265-96-7

    4-氯苯胺盐酸盐

  • 2991-84-6

    氯化壬氟丁基磺酰

  • +

  • 106-47-8

    对氯苯胺

  • 23384-05-6

    C4F9SO2NH(4-ClC6H4)

  • +

  • 20265-96-7

    4-氯苯胺盐酸盐

  • 106-39-8

    4-溴氯苯

  • 20265-96-7

    4-氯苯胺盐酸盐

  • 106-47-8

    对氯苯胺

  • 1226-23-9

    N-(4-Chlorophenyl)-2,4-dinitroaniline

  • +

  • 20265-96-7

    4-氯苯胺盐酸盐

  • 106-47-8

    对氯苯胺

  • 20265-96-7

    4-氯苯胺盐酸盐