(4S,5S,5aR,6S,12aS)-4-(二甲氨基)-3,5,10,12,12a-五羟基-6-甲基-1,11-二羰基-4a,5,5a,6-四氢-4H-四省-2-甲酰胺

(4S,5S,5aR,6S,12aS)-4-(二甲氨基)-3,5,10,12,12a-五羟基-6-甲基-1,11-二羰基-4a,5,5a,6-四氢-4H-四省-2-甲酰胺 基本信息
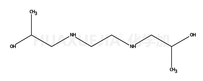
CAS号 3270-73-3 分子式 C8H20N2O2
分子量 176.25700 精确质量  176.15200
PSA  N/A LogP  N/A

合成路线 1

  • 10507-78-5

    1,1'-({2-[(2-羟基丙基)氨基]乙基}亚氨基)二丙烷-2-醇

  • +

  • 75-56-9

    (±)-环氧丙烷

  • 123-84-2

    N-(2-羟基丙基)乙二胺

  • +

  • 3270-73-3

    (4S,5S,5aR,6S,12aS)-4-(二甲氨基)-3,5,10,12,12a-五羟基-6-甲基-1,11-二羰基-4a,5,5a,6-四氢-4H-四省-2-甲酰胺

  • 123-84-2

    N-(2-羟基丙基)乙二胺

  • +

  • 75-56-9

    (±)-环氧丙烷

  • 3270-73-3

    (4S,5S,5aR,6S,12aS)-4-(二甲氨基)-3,5,10,12,12a-五羟基-6-甲基-1,11-二羰基-4a,5,5a,6-四氢-4H-四省-2-甲酰胺

  • 107-15-3

    乙二胺

  • +

  • 75-56-9

    (±)-环氧丙烷

  • 123-84-2

    N-(2-羟基丙基)乙二胺

  • +

  • 3270-73-3

    (4S,5S,5aR,6S,12aS)-4-(二甲氨基)-3,5,10,12,12a-五羟基-6-甲基-1,11-二羰基-4a,5,5a,6-四氢-4H-四省-2-甲酰胺

  • +

  • 102-60-3

    N,N,N',N'-四-(2羟基丙基)乙二胺

  • +

  • 10507-78-5

    1,1'-({2-[(2-羟基丙基)氨基]乙基}亚氨基)二丙烷-2-醇

  • 107-15-3

    乙二胺

  • +

  • 75-56-9

    (±)-环氧丙烷

  • 3270-73-3

    (4S,5S,5aR,6S,12aS)-4-(二甲氨基)-3,5,10,12,12a-五羟基-6-甲基-1,11-二羰基-4a,5,5a,6-四氢-4H-四省-2-甲酰胺

  • 75-04-7

    乙胺

  • +

  • 75-56-9

    (±)-环氧丙烷

  • 123-84-2

    N-(2-羟基丙基)乙二胺

  • +

  • 3270-73-3

    (4S,5S,5aR,6S,12aS)-4-(二甲氨基)-3,5,10,12,12a-五羟基-6-甲基-1,11-二羰基-4a,5,5a,6-四氢-4H-四省-2-甲酰胺

  • 61051-09-0

    methylmercury(1+)

  • 3270-73-3

    (4S,5S,5aR,6S,12aS)-4-(二甲氨基)-3,5,10,12,12a-五羟基-6-甲基-1,11-二羰基-4a,5,5a,6-四氢-4H-四省-2-甲酰胺

  • 61051-13-6

    N,N'-bis(2-chloropropyl)oxamide

  • 3270-73-3

    (4S,5S,5aR,6S,12aS)-4-(二甲氨基)-3,5,10,12,12a-五羟基-6-甲基-1,11-二羰基-4a,5,5a,6-四氢-4H-四省-2-甲酰胺

  • 36697-73-1

    5,5'-dimethyl-2,2'-bi-2-oxazoline

  • 3270-73-3

    (4S,5S,5aR,6S,12aS)-4-(二甲氨基)-3,5,10,12,12a-五羟基-6-甲基-1,11-二羰基-4a,5,5a,6-四氢-4H-四省-2-甲酰胺