3,5-二苯基-1-(4,5-二甲基-2-噻唑基)甲

3,5-二苯基-1-(4,5-二甲基-2-噻唑基)甲 基本信息
CAS号 23305-68-2 分子式 C18H17N5S
分子量 335.42600 精确质量  335.12000
PSA  90.24000 LogP  5.39050

基本信息 展开↓

CAS号:
23305-68-2
3D弹球模型:
立即前往扯扯看
分子式:
C18H17N5S
分子量:
335.42600
中文名称:
3,5-二苯基-1-(4,5-二甲基-2-噻唑基)甲
英文名称:
MTT FORMAZAN
中文别名:
3,5-二苯基-1-(4,5-二甲基-2-噻唑基)甲;
1-(4,5-二甲基-2-噻唑基)-3,5-二苯基甲臢;
MTT甲臢
英文别名:
MTT FORMAZAN;
2-[3,5-di(phenyl)-2H-tetrazol-1-yl]-4,5-dimethyl-1,3-thiazole;
2-[3,5-di(phenyl)-2H-tetrazol-1-yl]-4,5-dimethyl-thiazole;
3,5-Diphenyl-1-(4,5-dimethyl-2-thiazolyl)formazane;
3-[4,5-DIMETHYLTHIAZOL-2-YL]-2,5-DIPHENYLFORMAZAN;
THIAZOLYL BLUE FORMAZAN;
MTT Formazan;
1-(4,5-DIMETHYL-2-THIAZOLYL)-3,5-DIPHENYLFORMAZAN;
1-(4,5-Dimethyl-2-thiazolyl)-3,5-diphenylformazan;
thiazolyl blue formazane;
1-(4,5-dimethyl-2-thiazoyl)-3,5-diphenylformazan;
3,5-Diphenyl-1-(4,5-dimethyl-2-thiazolyl)formazan;
1-[4,5-DIMETHYLTHIAZOL-2-YL]-3,5-DIPHENYLFORMAZAN;
3,5-DIPHENYL-1-(4,5-DIMETHYL-2-THIAZOLYL)FORMAZAN
精确分子量/精确质量:
335.12000
极性分子表面积/PSA:
90.24000
油水分配系数/LogP:

LogP值指的是某物质在正辛醇/水两相体系中的分配系数的对数值,反映了物质在油水两相中的分配情况。其中、LogP值越大,说明该物质越亲油;反之,LogP值越小,则说明该物质越亲水。
贝尔斯坦号/MDL:
MFCD00080731
EINECS:
245-566-1
PubChem:
24896591
InChI:
The Key: GIFKVQOPAJDJLO-UHFFFAOYSA-N

生产制备方法及用途展开↓

合成制备方法



用途



物化性质展开↓

密度:
1.3g/cm3
熔点:
169 °C
沸点:
474.7ºC at 760mmHg
闪点:
240.9ºC
折射率:
1.705
蒸汽压:
3.53E-09mmHg at 25°C
存储条件/存储方法:


稳定性相关:


其它信息:

1. 性状:紫色粉末

2. 密度(g/mL,25/4):未确定

3. 相对蒸汽密度(g/mL,空气=1未确定

4. 熔点(ºC):169

5. 沸点(ºC,常压):未确定

6. 沸点(ºC,5.2kPa): 未确定

7. 折射率: 未确定

8. 闪点(ºC): 未确定

9. 比旋光度(º): 未确定

10. 自燃点或引燃温度(ºC): 未确定

11. 蒸气压(kPa,25ºC): 未确定

12. 饱和蒸气压(kPa,60ºC): 未确定

13. 燃烧热(KJ/mol):未确定

14. 临界温度(ºC): 未确定

15. 临界压力(KPa): 未确定

16. 油水(辛醇/水)分配系数的对数值: 未确定

17. 爆炸上限(%,V/V):未确定

18. 爆炸下限(%,V/V): 未确定

19. 溶解性:溶于氯仿


安全信息展开↓

海关代码:
2934999090
WGK_Germany:
3
德国有关水污染物质的分类清单
危险类别码:
36/37/38-51/53
安全说明:
S26-S61
安全标志:
S26:万一接触眼睛,立即使用大量清水冲洗并送医诊治。
S61:避免排放到环境中。参考专门的说明/安全数据表。
危险标志:
Xi: Irritant;N: Dangerous for the environment;

合成路线查看所有的合成路线

  • 588-64-7

    苯甲醛苯腙

  • 23305-68-2

    3,5-二苯基-1-(4,5-二甲基-2-噻唑基)甲

化学图谱

  1. MTT甲臜红外图谱(IR1)

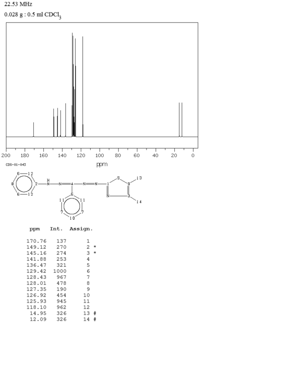
  2. MTT甲臜核磁图(13CNMR)

  3. MTT甲臜核磁图(1HNMR)

上一页 1/4 下一页

毒理性展开↓

毒理学数据:


生态数据:


MSDS 展开↓

  MTT甲臢      修改号码:5    

模块 1. 化学品
    产品名称:      MTT Formazan    
    修改号码:      5    

模块 2. 危险性概述
  GHS分类
     物理性危害        未分类    
     健康危害        未分类    
     环境危害        未分类    
  GHS标签元素
     图标或危害标志        无    
     信号词        无信号词    
     危险描述        无    
     防范说明        无    

模块 3. 成分/组成信息
  单一物质/混和物        单一物质    
  化学名(中文名):      MTT甲臢    
    百分比:      >98.0%(LC)    
  CAS编码:      23305-68-2    
    俗名:      1-(4,5-Dimethyl-2-thiazolyl)-3,5-diphenylformazan , 3,5-Diphenyl-1-(4,5-    
  dimethyl-2-thiazolyl)formazan
    分子式:      C18H17N5S    

模块 4. 急救措施
    吸入:      将受害者移到新鲜空气处,保持呼吸通畅,休息。若感不适请求医/就诊。    
    皮肤接触:      立即去除/脱掉所有被污染的衣物。用水清洗皮肤/淋浴。    
  若皮肤刺激或发生皮疹:求医/就诊。
    眼睛接触:        用水小心清洗几分钟。如果方便,易操作,摘除隐形眼镜。继续清洗。    
  如果眼睛刺激:求医/就诊。
    食入:      若感不适,求医/就诊。漱口。    
    紧急救助者的防护:        救援者需要穿戴个人防护用品,比如橡胶手套和气密性护目镜。    

模块 5. 消防措施
    合适的灭火剂:        干粉,泡沫,雾状水,二氧化碳    
  MTT甲臢      修改号码:5    

模块 5. 消防措施
    特殊危险性:        小心,燃烧或高温下可能分解产生毒烟。    
    特定方法:        从上风处灭火,根据周围环境选择合适的灭火方法。    
    非相关人员应该撤离至安全地方。
    周围一旦着火:如果安全,移去可移动容器。
    消防员的特殊防护用具:        灭火时,一定要穿戴个人防护用品。    

模块 6. 泄漏应急处理
    个人防护措施,防护用具,      使用个人防护用品。远离溢出物/泄露处并处在上风处。    
    紧急措施:        泄露区应该用安全带等圈起来,控制非相关人员进入。    
    环保措施:        防止进入下水道。    
    控制和清洗的方法和材料:        清扫收集粉尘,封入密闭容器。注意切勿分散。附着物或收集物应该立即根据合适的    
    法律法规处置。

模块 7. 操作处置与储存
    处理
    技术措施:        在通风良好处进行处理。穿戴合适的防护用具。防止粉尘扩散。处理后彻底清洗双手    
    和脸。
    注意事项:        如果粉尘或浮质产生,使用局部排气。    
    操作处置注意事项:        避免接触皮肤、眼睛和衣物。    
    贮存
    储存条件:        保持容器密闭。存放于凉爽、阴暗处。    
    存放于惰性气体环境中。
    远离不相容的材料比如氧化剂存放。
  光敏, 气敏
    包装材料:        依据法律。    

模块 8. 接触控制和个体防护
    工程控制:        尽可能安装封闭体系或局部排风系统,操作人员切勿直接接触。同时安装淋浴器和洗    
    眼器。
    个人防护用品
     呼吸系统防护:        防尘面具。依据当地和政府法规。    
     手部防护:        防护手套。    
     眼睛防护:        安全防护镜。如果情况需要,佩戴面具。    
     皮肤和身体防护:        防护服。如果情况需要,穿戴防护靴。    

模块 9. 理化特性
    固体
  外形(20°C):
    外观:      晶体-粉末    
    颜色:        黑色    
    气味:        无资料    
  pH:        无数据资料    
    熔点:
  169°C
  沸点/沸程        无资料    
    闪点:        无资料    
    爆炸特性
     爆炸下限:        无资料    
     爆炸上限:        无资料    
    密度:        无资料    
    溶解度:
  MTT甲臢      修改号码:5    

模块 9. 理化特性
  [水]        无资料    
  [其他溶剂]        无资料    

模块 10. 稳定性和反应性
    化学稳定性:        一般情况下稳定。    
    危险反应的可能性:        未报道特殊反应性。    
    须避免接触的物质        氧化剂    
  危险的分解产物:      一氧化碳, 二氧化碳, 氮氧化物 (NOx), 硫氧化物    

模块 11. 毒理学信息
    急性毒性:        无资料    
    对皮肤腐蚀或刺激:        无资料    
    对眼睛严重损害或刺激:        无资料    
    生殖细胞变异原性:        无资料    
    致癌性:
  IARC =        无资料    
  NTP =        无资料    
    生殖毒性:        无资料    

模块 12. 生态学信息
    生态毒性:
    鱼类:        无资料    
    甲壳类:        无资料    
    藻类:        无资料    
  残留性 / 降解性:        无资料    
  潜在生物累积 (BCF):        无资料    
    土壤中移动性
   log水分配系数:        无资料    
   土壤吸收系数 (Koc):        无资料    
     亨利定律        无资料    
  constant(PaM3/mol):

模块 13. 废弃处置
    如果可能,回收处理。请咨询当地管理部门。建议在可燃溶剂中溶解混合,在装有后燃和洗涤装置的化学焚烧炉中
    焚烧。废弃处置时请遵守国家、地区和当地的所有法规。

模块 14. 运输信息
    联合国分类:        与联合国分类标准不一致    
  UN编号:        未列明    

模块 15. 法规信息
  《危险化学品安全管理条例》(2002年1月26日国务院发布,2011年2月16日修订): 针对危险化学品的安全使用、
    生产、储存、运输、装卸等方面均作了相应的规定。
  MTT甲臢      修改号码:5    


模块16 - 其他信息
N/A

海关数据查看详细

中国海关编码:2934999090

概述:
2934999090. 其他杂环化合物. 增值税率:17.0%. 退税率:13.0%. 监管条件:无. 最惠国关税:6.5%. 普通关税:20.0%
申报要素:
品名, 成分含量, 用途
摘要/Summary:
2934999090. other heterocyclic compounds. VAT:17.0%. Tax rebate rate:13.0%. . MFN tariff:6.5%. General tariff:20.0%

分子结构与计算化学数据展开↓

分子结构数据


五、分子性质数据:

1、   摩尔折射率:100.56

2、   摩尔体积(cm3/mol):273.1

3、   等张比容(90.2K)718.2

4、   表面张力(dyne/cm)47.8

5、   极化率(10-24cm3)39.86

 

计算化学数据


1、 疏水参数计算参考值(XlogP:6.6

2、 氢键供体数量:1

3、 氢键受体数量:5

4、 可旋转化学键数量:3

5、 互变异构体数量:

6、 拓扑分子极性表面积(TPSA:43.8

7、 重原子数量:24

8、 表面电荷:0

9、 复杂度:458

10、 同位素原子数量:0

11、 确定原子立构中心数量:0

12、 不确定原子立构中心数量:0

13、 确定化学键立构中心数量:0

14、 不确定化学键立构中心数量:0

15、 共价键单元数量:1

上下游相关产品

上游产品

更多
  • 588-64-7

    苯甲醛苯腙

立即下载安装“化学加”APP
专业、功能强大,随时调用更加方便