| 氯氰菊酯 基本信息 | |||
|---|---|---|---|
| CAS号 | 52315-07-8 | 分子式 | C22H19Cl2NO3 |
| 分子量 | 416.29700 | 精确质量 | 415.07400 |
| PSA | 59.32000 | LogP | 6.17798 |
基本信息
展开↓
生产制备方法及用途展开↓
制备方法一
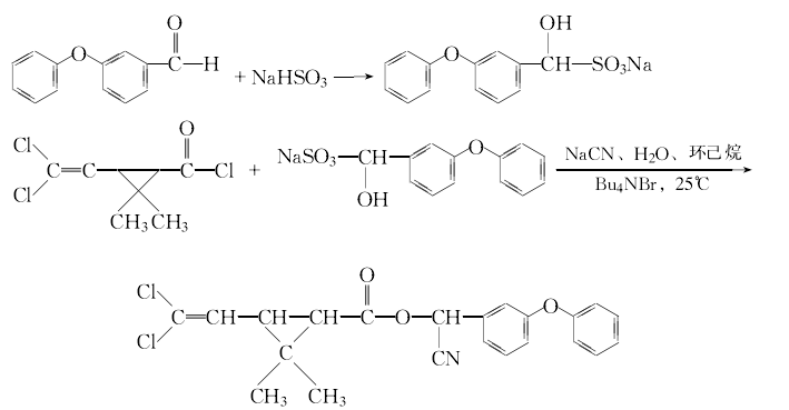
二氯菊酰氯、醛和氰化钠在相转移催化剂存在下反应。操作方法:分别将3-苯氧基苯甲醛3.4g (含量87.40%),二氯菊酰氯3.0g(含量95.8%)和适量溶剂加入到反应瓶中,在剧烈搅拌下,保持温度在20℃以下,滴加由氰化钠0.85g (0.0163mol)、碳酸钠0.27g和相转移催化剂(苄基三乙基氯化铵或间苯氧基苄基三乙基氯化铵)少许,溶解于6.5mL水中的盐溶液。滴毕升温至45~50℃,继续搅拌反应5h。分离水相并用少量甲苯萃取1次,合并有机相,用水洗至中性为止,脱溶后得淡黄色氯氰菊酯,收率93%。
关于氯氰菊酯差向异构化报道,见文献[5]。
制备方法二
二氯菊酰氯与α-氰基间苯氧基苯甲醇反应制得氯氰菊酯。
制备方法三
二氯菊酰氯与相应的磺酸盐反应制得氯氰菊酯。
制备方法四
二氯菊酸钠与相应的α-卤化氰化合物反应制得氯氰菊酯。
拟除虫菊酯类杀虫剂。具有广谱、高效、快速的作用特点,对害虫以触杀和胃毒为主,适用于鳞翅目、鞘翅目等害虫,对螨类效果不好。对棉花、大豆、玉米、果树、葡萄、蔬菜、烟草、花卉等作物上的蚜虫、棉铃虫、斜纹夜蛾、尺蠖、卷叶虫、跳甲、象鼻虫等多种害虫有良好防治效果。通常用药量为0.3~0.9g/100m2。如防治棉铃虫和红铃虫,在卵孵盛期,幼虫蛀入蕾、铃之前,用10%乳油1000~1500倍液喷雾;对柑橘害虫用30~100mg/L浓度喷雾;防治茶叶害虫用25~50mg/kg浓度喷雾。注意不要在桑园、鱼塘、水源、养蜂场附近使用。
物化性质展开↓
如果遵照规格使用和储存则不会分解,未有已知危险反应.对皮肤有轻微刺激作用,对眼睛有中度刺激作用。对蚕、蜜蜂高毒。氯氰菊酷毒性数据有关资料相差较大,可能是不同试验条件所致。
1. 性状:淡黄色至棕色黏稠液体或半固体。
2. 密度(g/mL,25ºC):1.24
3. 相对蒸汽密度(g/mL,空气=1): 未确定
4. 熔点(ºC):未确定
5. 沸点(ºC):未确定
6. 沸点(ºC,0.2mm hg):未确定
7. 折射率:1.5650
8. 闪点(°C):80
9. 比旋光度(ºC):未确定
10. 自燃点或引燃温度(ºC): 未确定
11. 蒸气压(kPa,20ºC):(外推至20℃)190×10-9 (70℃)45.066×10-6
12. 饱和蒸气压(kPa,60ºC):0.226×10-9
13. 燃烧热(KJ/mol):未确定
14. 临界温度(ºC):未确定
15. 临界压力(KPa):未确定
16. 油水(辛醇/水)分配系数的对数值:未确定
17. 爆炸上限(%,V/V):未确定
18. 爆炸下限(%,V/V):未确定
19. 溶解性:不能溶于水的
安全信息展开↓
合成路线查看所有的合成路线
毒理性展开↓ 大鼠急性经口LD50为251 mg /kg,小鼠为138mg/kg(250 ~ 400mg /kg)。大鼠急性经皮LD50>1600mg /kg,兔大于2400mg/kg;大鼠急性吸入LC50>0 . 048mg /L。大鼠业急性经日无作用剂量为每天5mg/kg (100mg/kg)>慢性经日无作用剂量为每天7mg/kg(100mg/kg) o动物试验未发现致畸、致癌、致突变作用。虹蝉鱼L(二为0.5μg/IL(2-2.8μg/L) (96h)。
对水是稍微有危害的不要让未稀释或大量的产品接触地下水、水道或者污水系统,若无政府许可,勿将材料排入周围环境。
MSDS 展开↓| 第一部分:化学品名称 |
| 化学品中文名称: | 氯氰菊酯;兴棉宝 |
| 化学品英文名称: | Cypermethrin;Cymbush |
| 中文俗名或商品名: | |
| Synonyms: | |
| CAS No.: | 52315-07-8 |
| 分子式: | C22H19Cl2NO3 |
| 分子量: | 416.32 |
| 第二部分:成分/组成信息 |
| 纯化学品 混合物 | ||||||||||||
| 化学品名称:氯氰菊酯;兴棉宝 | ||||||||||||
|
| 第三部分:危险性概述 |
| 危险性类别: | 第6.1类 毒害品 |
| 侵入途径: | 吸入 食入 经皮吸收 |
| 健康危害: | 属中等毒类。本品对皮肤、粘膜有刺激作用。误服中毒的症状有:头痛、头晕、恶心、呕吐、腹痛、胸闷、重者出现意识模糊和肺水肿。 |
| 环境危害: | 对环境有危害,对水体可造成污染。 |
| 燃爆危险: | 本品可燃,有毒,具刺激性。 |
| 第四部分:急救措施 |
| 皮肤接触: | 用肥皂水及清水彻底冲洗。就医。 |
| 眼睛接触: | 拉开眼睑,用流动清水冲洗15分钟。就医。 |
| 吸入: | 脱离现场至空气新鲜处。呼吸困难时给输氧。呼吸停止时,立即进行人工呼吸。就医。 |
| 食入: | 误服者,饮适量温水,催吐。洗胃。就医。用葛根素治疗。 |
| 第五部分:消防措施 |
| 危险特性: | 遇明火、高热可燃。受高熟分解,放出高毒的烟气。 |
| 有害燃烧产物: | 一氧化碳、二氧化碳、氮氧化物、氯化氢、氰化物。 |
| 灭火方法及灭火剂: | 泡沫、干粉、砂土。 |
| 消防员的个体防护: | 消防人员须佩戴防毒面具、穿全身消防服. |
| 禁止使用的灭火剂: | |
| 闪点(℃): | 80 |
| 自燃温度(℃): | |
| 爆炸下限[%(V/V)]: | |
| 爆炸上限[%(V/V)]: | |
| 最小点火能(mJ): | |
| 爆燃点: | |
| 爆速: | |
| 最大燃爆压力(MPa): | |
| 建规火险分级: |
| 第六部分:泄漏应急处理 |
| 应急处理: | 疏散泄漏污染区人员至安全区,禁止无关人员进入污染区,建议应急处理人员戴自给式呼吸器,穿化学防护服。不要直接接触泄漏物,用砂土吸收,铲入提桶,倒至空旷地方深埋。也可以用大量水冲洗,经稀释的污水放入废水系统。如大量泄漏,利用围堤收容,然后收集、转移、回收或无害处理后废弃。 |
| 第七部分:操作处置与储存 |
| 操作注意事项: | 密闭操作,局部排风。防止蒸气泄漏到工作场所空气中。操作人员必须经过专门培训,严格遵守操作规程。建议操作人员佩戴自吸过滤式防毒面具(半面罩),戴化学安全防护眼镜,穿防毒物渗透工作服,戴橡胶手套。远离火种、热源,工作场所严禁吸烟。使用防爆型的通风系统和设备。在清除液体和蒸气前不能进行焊接、切割等作业。避免产生烟雾。避免与氧化剂、碱类接触。配备相应品种和数量的消防器材及泄漏应急处理设备。倒空的容器可能残留有害物。 |
| 储存注意事项: | 储存于阴凉、通风的库房。远离火种、热源。防止阳光直射。保持容器密封。应与氧化剂、碱类、食用化学品分开存放,切忌混储。配备相应品种和数量的消防器材。储区应备有泄漏应急处理设备和合适的收容材料。 |
| 第八部分:接触控制/个体防护 |
| 最高容许浓度: | 中 国 MAC:未制订标准前苏联 MAC:未制订标准美国TLV—TWA:未制订标准 |
| 监测方法: | |
| 工程控制: | 密闭操作,局部排风。 |
| 呼吸系统防护: | 生产操作或农业使用时,应该佩戴防毒口罩。紧急事态抢救或逃生时,佩戴自给式呼吸器。 |
| 眼睛防护: | 戴安全防护眼镜。 |
| 身体防护: | 穿相应的防护服。 |
| 手防护: | 戴防护手套。 |
| 其他防护: | 工作现场禁止吸烟、进食和饮水。工作后,淋浴更衣。工作服不要带到非作业场所,单独存放被毒物污染的衣服, |
| 第九部分:理化特性 |
| 外观与性状: | 原药为黄棕色至深红褐色粘稠液体。 |
| pH: | |
| 熔点(℃): | |
| 沸点(℃): | |
| 相对密度(水=1): | 1.24(20℃) |
| 相对蒸气密度(空气=1): | |
| 饱和蒸气压(kPa): | 0.226×(10-9) |
| 燃烧热(kJ/mol): | |
| 临界温度(℃): | |
| 临界压力(MPa): | |
| 辛醇/水分配系数的对数值: | |
| 闪点(℃): | 80 |
| 引燃温度(℃): | |
| 爆炸上限%(V/V): | |
| 爆炸下限%(V/V): | |
| 分子式: | C22H19Cl2NO3 |
| 分子量: | 416.32 |
| 蒸发速率: | |
| 粘性: | |
| 溶解性: | 难溶于水,易溶于酮、醇、芳烃等。 |
| 主要用途: | 用作农用杀虫剂。 |
| 第十部分:稳定性和反应活性 |
| 稳定性: | 在常温常压下 稳定 |
| 禁配物: | 强氧化剂、强碱。 |
| 避免接触的条件: | 光照。 |
| 聚合危害: | 不能出现 |
| 分解产物: | 一氧化碳、二氧化碳、氮氧化物、氯化氢、氰化物。 |
| 第十一部分:毒理学资料 |
| 急性毒性: | LD50:251mg/kg(大鼠经口);1600mg/kg(大鼠经皮) LC50: |
| 急性中毒: | |
| 慢性中毒: | |
| 亚急性和慢性毒性: | |
| 刺激性: | |
| 致敏性: | |
| 致突变性: | |
| 致畸性: | |
| 致癌性: |
| 第十二部分:生态学资料 |
| 生态毒理毒性: | |
| 生物降解性: | |
| 非生物降解性: | |
| 生物富集或生物积累性: |
| 第十三部分:废弃处置 |
| 废弃物性质: | |
| 废弃处置方法: | 建议用控制焚烧法或安全掩埋法处置。在能利用的地方重复使用容器或在规定场所掩埋。 |
| 废弃注意事项: |
| 第十四部分:运输信息 |
|
|
| 危险货物编号: | 61904 |
| UN编号: | 2588 |
| 包装标志: | |
| 包装类别: | Ⅲ |
| 包装方法: | 塑料袋或二层牛皮纸袋外全开口或中开口钢桶;两层塑料袋或一层塑料袋外麻袋、塑料编织袋、乳胶布袋;塑料袋外复合塑料编织袋(聚丙烯三合一袋、聚乙烯三合一袋、聚丙烯二合一袋、聚乙烯二合一袋);塑料袋或二层牛皮纸袋外普通木箱;螺纹口玻璃瓶、塑料瓶、复合塑料瓶或铝瓶外普通木箱;塑料瓶、两层塑料袋或两层牛皮纸袋(内或外套以塑料袋)外瓦楞纸箱。 |
| 运输注意事项: | 储存于阴凉、通风仓间内。远离火种、热源。专人保管。保持容器密封。避光保存。防止受潮和雨淋。防止阳光曝晒。应与氧化剂、碱类、食用化工原料分开存放。不能与粮食、食物、种子、饲料、各种日用品混装、混运。操作 |
| RETCS号: | |
| IMDG规则页码: |
| 第十五部分:法规信息 |
| 国内化学品安全管理法规: | 化学危险物品安全管理条例 (1987年2月17日国务院发布),化学危险物品安全管理条例实施细则 (化劳发[1992] 677号),工作场所安全使用化学品规定 ([1996]劳部发423号)等法规,针对化学危险品的安全使用、生产、储存、运输、装卸等方面均作了相应规定;常用危险化学品的分类及标志 (GB 13690-92)将该物质划为第6.1 类毒害品。 |
| 国际化学品安全管理法规: |
| 第十六部分:其他信息 |
| 参考文献: | 1.周国泰,化学危险品安全技术全书,化学工业出版社,1997 2.国家环保局有毒化学品管理办公室、北京化工研究院合编,化学品毒性法规环境数据手册,中国环境科学出版社.1992 3.Canadian Centre for Occupational Health and Safety,CHEMINFO Database.1998 4.Canadian Centre for Occupational Health and Safety, RTECS Database, 1989 |
| 填表时间: | 年月日 |
| 填表部门: | |
| 数据审核单位: | |
| 修改说明: | |
| 其他信息: | 5 |
| MSDS修改日期: | 年月日 |
分子结构与计算化学数据展开↓
1.疏水参数计算参考值(XlogP):无
2.氢键供体数量:0
3.氢键受体数量:4
4.可旋转化学键数量:7
5.互变异构体数量:无
6.拓扑分子极性表面积59.3
7.重原子数量:28
8.表面电荷:0
9.复杂度:643
10.同位素原子数量:0
11.确定原子立构中心数量:0
12.不确定原子立构中心数量:3
13.确定化学键立构中心数量:0
14.不确定化学键立构中心数量:0
15.共价键单元数量:1