1,1-dichlorohept-1-ene

1,1-dichlorohept-1-ene 基本信息
CAS号 32363-95-4 分子式 C7H12Cl2
分子量 167.07600 精确质量  166.03200
PSA  0.00000 LogP  3.88570

基本信息 展开↓

CAS号:
32363-95-4
3D弹球模型:
立即前往扯扯看
分子式:
C7H12Cl2
分子量:
167.07600
中文名称:
1,1-dichlorohept-1-ene
英文名称:
1,1-dichlorohept-1-ene
中文别名:
1,1-dichlorohept-1-ene
英文别名:
1,1-dichlorohept-1-ene;
1-Heptene,1,1-dichloro;
1,1-Dichlor-hept-1-en;
1,1-Dichlor-hepten-1;
1,1-dichloro-hept-1-ene;
1,1-dichloro-1-heptene
精确分子量/精确质量:
166.03200
极性分子表面积/PSA:
0.00000
油水分配系数/LogP:

LogP值指的是某物质在正辛醇/水两相体系中的分配系数的对数值,反映了物质在油水两相中的分配情况。其中、LogP值越大,说明该物质越亲油;反之,LogP值越小,则说明该物质越亲水。
InChI:
The Key: SHIGTIVKNFPBPY-UHFFFAOYSA-N

合成路线查看所有的合成路线

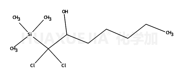
  • 88920-80-3

    1,1-Dichloro-1-trimethylsilyl-2-heptanol

  • ~97%

  • 32363-95-4

    1,1-dichlorohept-1-ene

  • 866-23-9

    三氯甲基膦酸二乙酯

  • +

  • 66-25-1

    正己醛

  • ~86%

  • 32363-95-4

    1,1-dichlorohept-1-ene

  • 2233-00-3

    三氯丙烯-1

  • ~63%

  • 32363-95-4

    1,1-dichlorohept-1-ene

上下游相关产品

上游产品

更多
  • 866-23-9

    三氯甲基膦酸二乙酯

  • 66-25-1

    正己醛

  • 88920-80-3

    1,1-Dichloro-1-trimethylsilyl-2-heptanol

  • 75-62-7

    三氯溴甲烷

  • 56-23-5

    四氯化碳

下游产品

更多
  • 592-76-7

    1-庚烯

  • 628-71-7

    1-庚炔

  • 142-62-1

    己酸

立即下载安装“化学加”APP
专业、功能强大,随时调用更加方便