2,2-双(2-羟基-5-联苯基)丙烷

2,2-双(2-羟基-5-联苯基)丙烷 基本信息
CAS号 24038-68-4 分子式 C27H24O2
分子量 380.47800 精确质量  380.17800
PSA  40.46000 LogP  6.75770

基本信息 展开↓

CAS号:
24038-68-4
3D弹球模型:
立即前往扯扯看
分子式:
C27H24O2
分子量:
380.47800
中文名称:
2,2-双(2-羟基-5-联苯基)丙烷
英文名称:
4-[2-(4-hydroxy-3-phenylphenyl)propan-2-yl]-2-phenylphenol
中文别名:
2,2-双(2-羟基-5-联苯基)丙烷;
双酚0PPA
英文别名:
4-[2-(4-hydroxy-3-phenylphenyl)propan-2-yl]-2-phenylphenol;
2,2-BIS(2-HYDROXY-5-BIPHENYLYL)PROPANE;
5,5'-(1-methylethylidene)bis[1,1'-(bisphenyl)-2-ol];
2,2-Bis(2-hydroxy-5-biphenylyl)propane;
5,5''-(1-methylethylidene)bis<<1,1'-biphenyl>-2-ol>;
2-bis(4-hydroxy-3-phenylphenyl)propane;
2,2-bis(4-hydroxy-3-phenyl-phenyl)propane;
4,4'-isopropylidenebis(2-phenyl phenol);
5,5''-(Propane-2,2-diyl)bis(([1,1'-biphenyl]-2-ol));
4,4'-Isopropylidenebis(2-phenylphenol);
5,5'-Isopropylidenebis(2-hydroxybiphenyl);
2,2-bis-(3-phenyl-4-hydroxyphenyl)propane
精确分子量/精确质量:
380.17800
极性分子表面积/PSA:
40.46000
油水分配系数/LogP:

LogP值指的是某物质在正辛醇/水两相体系中的分配系数的对数值,反映了物质在油水两相中的分配情况。其中、LogP值越大,说明该物质越亲油;反之,LogP值越小,则说明该物质越亲水。
InChI:
InChI=1/C27H24O2/c1-27(2,21-13-15-25(28)23(17-21)19-9-5-3-6-10-19)22-14-16-26(29)24(18-22)20-11-7-4-8-12-20/h3-18,28-29H,1-2H3

物化性质展开↓

密度:
1.152
熔点:
98-99ºC
沸点:
567.411ºC at 760 mmHg
闪点:
252.821°C
折射率:
1.629
蒸汽压:
0mmHg at 25°C
其它信息:

1.       性状:未确定

2.       密度(g/mL,25/4℃):1.152

3.       相对蒸汽密度(g/mL,空气=1):未确定

4.       熔点(ºC):118

5.       沸点(ºC,常压):未确定

6.       沸点(ºC,5.2kPa):未确定

7.       折射率:未确定

8.       闪点(ºC):未确定

9.       比旋光度(º):未确定

10.    自燃点或引燃温度(ºC):未确定

11.    蒸气压(kpa,20ºC):未确定

12.    饱和蒸气压(kPa,60ºC):未确定

13.    燃烧热(KJ/mol):未确定

14.    临界温度(ºC):未确定

15.    临界压力(KPa):未确定

16.    油水(辛醇/水)分配系数的对数值:未确定

17.    爆炸上限(%,V/V):未确定

18.    爆炸下限(%,V/V):未确定

19.    溶解性:未确定

安全信息展开↓

海关代码:
2907199090

合成路线查看所有的合成路线

  • 90-43-7

    联苯-2-酚

  • +

  • 67-64-1

    丙酮

  • ~42%

  • 24038-68-4

    2,2-双(2-羟基-5-联苯基)丙烷

  • 68-11-1

    硫代乙醇酸

  • +

  • 90-43-7

    联苯-2-酚

  • ~40%

  • 24038-68-4

    2,2-双(2-羟基-5-联苯基)丙烷

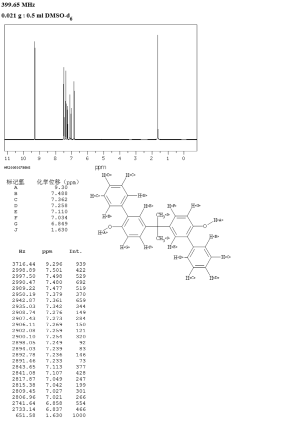
化学图谱

  1. 5,5''-(1-亚异丙基)双[(1,1'-双苯基)-2-酚]质谱(MS)

  2. 5,5''-(1-亚异丙基)双[(1,1'-双苯基)-2-酚]核磁图(13CNMR)

  3. 5,5''-(1-亚异丙基)双[(1,1'-双苯基)-2-酚]核磁图(1HNMR)

上一页 1/4 下一页

MSDS 展开↓

  2,2-双(2-羟基-5-联苯基)丙烷

模块 1. 化学品
    产品名称:      2,2-Bis(2-hydroxy-5-biphenylyl)propane    

模块 2. 危险性概述
  GHS分类
     物理性危害        未分类    
     健康危害
  皮肤腐蚀/刺激      第2级    
  严重损伤/刺激眼睛      2A类    
     环境危害        未分类    
  GHS标签元素
     图标或危害标志
     信号词        警告    
     危险描述        造成皮肤刺激    
    造成严重眼刺激
     防范说明
  [预防]        处理后要彻底清洗双手。    
  穿戴防护手套/护目镜/防护面具。
  [急救措施]        眼睛接触:用水小心清洗几分钟。如果方便,易操作,摘除隐形眼镜。继续冲洗。    
  眼睛接触:求医/就诊
    皮肤接触:用大量肥皂和水轻轻洗。
  若皮肤刺激:求医/就诊。
    脱掉被污染的衣物,清洗后方可重新使用。

模块 3. 成分/组成信息
  单一物质/混和物        单一物质    
  化学名(中文名):      2,2-双(2-羟基-5-联苯基)丙烷    
    百分比:      >98.0%(LC)    
  CAS编码:      24038-68-4    
    俗名:      5,5'-Isopropylidenebis(2-hydroxybiphenyl) , 4,4'-Isopropylidenebis(2-    
  phenylphenol)
  2,2-双(2-羟基-5-联苯基)丙烷

模块 3. 成分/组成信息
    分子式:      C27H24O2    

模块 4. 急救措施
    吸入:      将受害者移到新鲜空气处,保持呼吸通畅,休息。若感不适请求医/就诊。    
    皮肤接触:      立即去除/脱掉所有被污染的衣物。用大量肥皂和水轻轻洗。    
  若皮肤刺激或发生皮疹:求医/就诊。
    眼睛接触:        用水小心清洗几分钟。如果方便,易操作,摘除隐形眼镜。继续清洗。    
  如果眼睛刺激:求医/就诊。
    食入:      若感不适,求医/就诊。漱口。    
    紧急救助者的防护:        救援者需要穿戴个人防护用品,比如橡胶手套和气密性护目镜。    

模块 5. 消防措施
    合适的灭火剂:        干粉,泡沫,雾状水,二氧化碳    
    特定方法:        从上风处灭火,根据周围环境选择合适的灭火方法。    
    非相关人员应该撤离至安全地方。
    周围一旦着火:如果安全,移去可移动容器。
    消防员的特殊防护用具:        灭火时,一定要穿戴个人防护用品。    

模块 6. 泄漏应急处理
    个人防护措施,防护用具,      使用个人防护用品。远离溢出物/泄露处并处在上风处。    
    紧急措施:        泄露区应该用安全带等圈起来,控制非相关人员进入。    
    环保措施:        防止进入下水道。    
    控制和清洗的方法和材料:        清扫收集粉尘,封入密闭容器。注意切勿分散。附着物或收集物应该立即根据合适的    
    法律法规处置。

模块 7. 操作处置与储存
    处理
    技术措施:        在通风良好处进行处理。穿戴合适的防护用具。防止粉尘扩散。处理后彻底清洗双手    
    和脸。
    注意事项:        如果粉尘或浮质产生,使用局部排气。    
    操作处置注意事项:        避免接触皮肤、眼睛和衣物。    
    贮存
    储存条件:        保持容器密闭。存放于凉爽、阴暗处。    
    远离不相容的材料比如氧化剂存放。
    包装材料:        依据法律。    

模块 8. 接触控制和个体防护
    工程控制:        尽可能安装封闭体系或局部排风系统,操作人员切勿直接接触。同时安装淋浴器和洗    
    眼器。
    个人防护用品
     呼吸系统防护:        防尘面具。依据当地和政府法规。    
     手部防护:        防护手套。    
     眼睛防护:        安全防护镜。如果情况需要,佩戴面具。    
     皮肤和身体防护:        防护服。如果情况需要,穿戴防护靴。    

模块 9. 理化特性
  外形(20°C):        固体    
    外观:      晶体-粉末    
    颜色:        白色类白色    
  2,2-双(2-羟基-5-联苯基)丙烷

模块 9. 理化特性
    气味:        无资料    
  pH:        无数据资料    
    熔点:
  118°C
  沸点/沸程        无资料    
    闪点:        无资料    
    爆炸特性
     爆炸下限:        无资料    
     爆炸上限:        无资料    
    密度:        无资料    
    溶解度:
  [水]        无资料    
  [其他溶剂]
    溶于:        甲醇    

模块 10. 稳定性和反应性
    化学稳定性:        一般情况下稳定。    
    危险反应的可能性:        未报道特殊反应性。    
    须避免接触的物质        氧化剂    
  危险的分解产物:      一氧化碳, 二氧化碳    

模块 11. 毒理学信息
    急性毒性:        无资料    
    对皮肤腐蚀或刺激:        无资料    
    对眼睛严重损害或刺激:        无资料    
    生殖细胞变异原性:        无资料    
    致癌性:
  IARC =        无资料    
  NTP =        无资料    
    生殖毒性:        无资料    

模块 12. 生态学信息
    生态毒性:
    鱼类:        无资料    
    甲壳类:        无资料    
    藻类:        无资料    
  残留性 / 降解性:        无资料    
  潜在生物累积 (BCF):        无资料    
    土壤中移动性
   log水分配系数:        无资料    
   土壤吸收系数 (Koc):        无资料    
     亨利定律        无资料    
  constant(PaM3/mol):

模块 13. 废弃处置
    如果可能,回收处理。请咨询当地管理部门。建议在可燃溶剂中溶解混合,在装有后燃和洗涤装置的化学焚烧炉中
    焚烧。废弃处置时请遵守国家、地区和当地的所有法规。

模块 14. 运输信息
    联合国分类:        与联合国分类标准不一致    
  2,2-双(2-羟基-5-联苯基)丙烷

模块 14. 运输信息
  UN编号:        未列明    

模块 15. 法规信息
  《危险化学品安全管理条例》(2002年1月26日国务院发布,2011年2月16日修订): 针对危险化学品的安全使用、
    生产、储存、运输、装卸等方面均作了相应的规定。


模块16 - 其他信息
N/A

海关数据查看详细

中国海关编码:2907199090

概述:
2907199090 其他一元酚. 增值税率:17.0% 退税率:9.0% 监管条件:无 最惠国关税:5.5% 普通关税:30.0%
申报要素:
品名, 成分含量, 用途
摘要/Summary:
2907199090 other monophenols VAT:17.0% Tax rebate rate:9.0% Supervision conditions:none MFN tariff:5.5% General tariff:30.0%

分子结构与计算化学数据展开↓

分子结构数据


1   摩尔折射率:117.35

2   摩尔体积m3/mol330.1

3   等张比容(90.2K):866.5

4   表面张力dyne/cm47.4

5   极化率10-24cm346.52

计算化学数据


1.疏水参数计算参考值(XlogP):7.3

2.氢键供体数量:2

3.氢键受体数量:2

4.可旋转化学键数量:4

5.互变异构体数量:5

6.拓扑分子极性表面积40.5

7.重原子数量:29

8.表面电荷:0

9.复杂度:459

10.同位素原子数量:0

11.确定原子立构中心数量:0

12.不确定原子立构中心数量:0

13.确定化学键立构中心数量:0

14.不确定化学键立构中心数量:0

15.共价键单元数量:1

上下游相关产品

上游产品

更多
  • 68-11-1

    硫代乙醇酸

  • 90-43-7

    联苯-2-酚

  • 67-64-1

    丙酮

立即下载安装“化学加”APP
专业、功能强大,随时调用更加方便