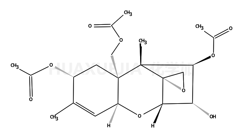
8-Acetylneosolaniol

8-Acetylneosolaniol 基本信息
CAS号 65041-92-1 分子式 C21H28O9
分子量 424.44200 精确质量  424.17300
PSA  N/A LogP  N/A

合成路线 1

  • 118143-07-0

    3α-(tert-Butyldimethylsiloxy)-4β,8α,15-triacetoxy-12,13-epoxytrichothec-9-ene

  • ~90%

  • 65041-92-1

    8-Acetylneosolaniol

  • 36519-25-2

    新茄病镰刀菌烯醇

  • +

  • 108-24-7

    乙酸酐

  • ~2%

  • 65725-06-6

    Diacetylneosolaniol

  • +

  • 65041-92-1

    8-Acetylneosolaniol