欢迎来到化学加!萃聚英才,共享化学!化学加,加您更精彩!
首页
注册入驻
网站资讯
化学加_合成化学产业资源聚合服务平台
www.huaxuejia.cn
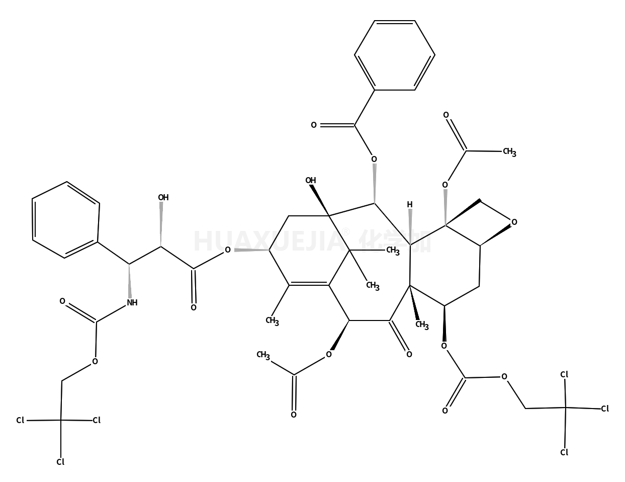
PACLITAXEL C
PACLITAXEL C 基本信息
CAS号
153415-45-3
分子式
C46H57NO14
分子量
847.94300
精确质量
847.37800
PSA
224.78000
LogP
4.84250
我要卖该产品
我要采购该产品
充值推广
查看更多供应商
目录
基本信息
物化性质
合成路线
上下游
基本信息
展开↓
CAS号:
153415-45-3
3D弹球模型:
立即前往扯扯看
分子式:
C46H57NO14
分子量:
847.94300
中文名称:
PACLITAXEL C
英文名称:
Taxol C
中文别名:
PACLITAXEL C;
紫杉醇EP杂质C
英文别名:
Taxol C;
taxuyunnansine;
Taxuyunnanine A;
Paclitaxel C;
Paclitaxel impurity C;
N-Debenzoyl-N-hexanoylpaclitaxel;
taxuyunnanin;
Taxuyunnanine
精确分子量/精确质量:
847.37800
极性分子表面积/PSA:
224.78000
油水分配系数/LogP:
LogP值指的是某物质在正辛醇/水两相体系中的分配系数的对数值,反映了物质在油水两相中的分配情况。其中、LogP值越大,说明该物质越亲油;反之,LogP值越小,则说明该物质越亲水。
InChI:
The Key: BEHTXUBGUDGCNQ-IEAAAIHOSA-N
物化性质
展开↓
密度:
1.34g/cm3
沸点:
932.3ºC at 760mmHg
闪点:
517.6ºC
折射率:
1.604
蒸汽压:
0mmHg at 25°C
合成路线
查看所有的合成路线
133524-70-6
3'-N-debenzoyltaxol
+
142-62-1
己酸
→
~57%
153415-45-3
PACLITAXEL C
602319-12-0
602319-12-0
→
153415-45-3
PACLITAXEL C
上下游相关产品
上游产品
更多
133524-70-6
3'-N-debenzoyltaxol
142-62-1
己酸
602319-12-0
N/A
基本信息
物化性质
合成路线
上下游相关产品
立即下载安装“化学加”APP
专业、功能强大,随时调用更加方便
专业、功能强大,随时调用更加方便
下载APP