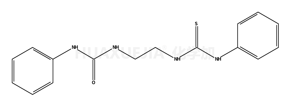
1-phenyl-3-[2-(phenylcarbamothioylamino)ethyl]urea

1-phenyl-3-[2-(phenylcarbamothioylamino)ethyl]urea 基本信息
CAS号 65417-30-3 分子式 C16H18N4OS
分子量 314.40500 精确质量  314.12000
PSA  N/A LogP  N/A

合成路线 1

  • 53673-01-1

    1-(2-aminoethyl)-3-phenylurea

  • +

  • 103-72-0

    硫代异氰酸苯酯

  • 65417-30-3

    1-phenyl-3-[2-(phenylcarbamothioylamino)ethyl]urea

  • 103-71-9

    异氰酸苯酯

  • +

  • 31090-77-4

    1-(2-aminoethyl)-3-phenylthiourea

  • 65417-30-3

    1-phenyl-3-[2-(phenylcarbamothioylamino)ethyl]urea

  • 103-72-0

    硫代异氰酸苯酯

  • 65417-30-3

    1-phenyl-3-[2-(phenylcarbamothioylamino)ethyl]urea

  • 103-71-9

    异氰酸苯酯

  • 65417-30-3

    1-phenyl-3-[2-(phenylcarbamothioylamino)ethyl]urea