欢迎来到化学加!萃聚英才,共享化学!化学加,加您更精彩!
首页
注册入驻
网站资讯
化学加_合成化学产业资源聚合服务平台
www.huaxuejia.cn
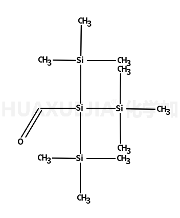
tris(trimethylsilyl)silylformaldehyde
tris(trimethylsilyl)silylformaldehyde 基本信息
CAS号
112044-12-9
分子式
C10H28OSi4
分子量
276.67100
精确质量
276.12200
PSA
N/A
LogP
N/A
合成路线
共
1
页
109-94-4
甲酸乙酯
→
112044-12-9
tris(trimethylsilyl)silylformaldehyde
合成路线